
中学数学星空、星空高中数学--热点数学问题的交流空间
致各位读者:因为公众号平台改变了推送规则,如果想正常看到“中学数学星空”的推送,可能需要大家在阅读后,在文末右下角点一下“在看”或者“星标”,我们每次的新文章才会第一时间出现在你的订阅列表里,人海茫茫,不想和大家错过。
星空系列群
星空教师1群:223476941(满)
星空教师2群:786850713(满)
星空教师3群:935654595
星空教师4群:562426273
2026届学生1群:699804492
2026届学生2群:1143346817
2027届学生群:1036228038
2027届学生2群:264013574
2028届学生群:1036229236
强基与竞赛交流群:531930321
公众号从成立到今,粉丝已经达到125000多人,感谢大家一些以来对我的支持与帮助,也感谢资料编辑与策划的同伴们的辛勤劳动的付出,同时在杨岸杰老师视频课的帮助下与各群员的捐助下,成立了群基金,新一年也是新一轮征程的发起端。站在通往未来新的起跑线,要学会总结及反思昨天的一切,精心谋划明天的蓝图,思索经营未来,播种希望,与时俱进,开拓创新,收获成功与幸福
星空第二公众号:星空高中数学已经推出,面向新高考地区试卷与资料,可以扫码进入学习.
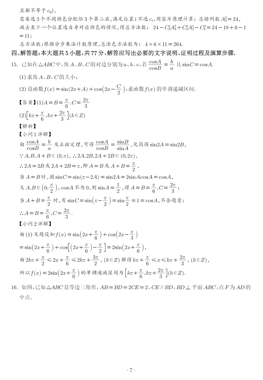
(下载试卷可以扫码下面二维码,文章后面也有网址及链接)





解析(答)部分












2026届新高考高三试卷汇总
229.广东省广州市高三统考数学试卷及逐题解析(2026.3)
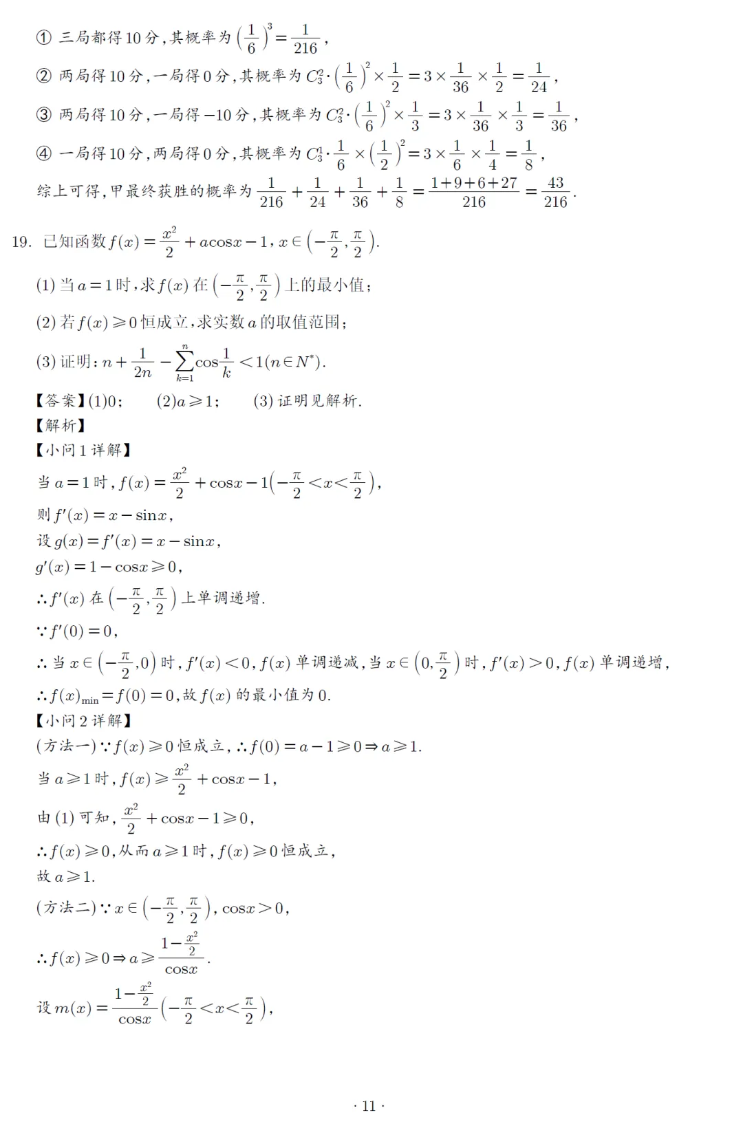
228.广东2026届高三一模数学试卷及逐题解析(2026.3)
227.金丽衢十二校高三第二次联考数学试卷及答案(2026.3)
226.浙江宁波十校高三联考数学试卷及逐题解析(2026.3)
225.湖北省黄冈市高三模拟数学试卷及逐题解析(2026.3)
224.山东省青岛市高三零模数学试卷及逐题解析(2026.3)
223.江苏省扬州市高三模考数学试卷及逐题解析(2026.3)
222.湖南九校联盟高三第二次联考数学试卷及逐题解析(2026.3)
221.河北唐山市高三一模数学试卷及逐题解析(2026.3)
219.浙江省杭州第二中学高三开学考数学试卷及逐题解析(2026.3)
218.福建莆田市高三二模数学试卷及逐题解析(2026.3)
217.广东省佛山市顺德区高三二模数学试卷及逐题解析(2026.3)
215浙江省名校协作体高三联考数学试卷及逐题解析(2026.3)
214.浙江强基联盟高三联考数学试卷及逐题解析(2026.3)
213浙江省新阵地教育联盟高三联考数学试卷及逐题解析(2026.3)
212.湖南雅礼中学高三开学考数学试卷及逐题解析(2026.3)
211.河南九师联盟高三开学联考数学试卷及逐题解析(2026.3)
210.安徽A10联盟高三联考数学试卷及逐题解析(2026.3)
209.浙江浙南名校金兰教育七彩阳光精诚联盟高三联考(2026.2)
208.浙江z20名校联盟高三联考数学试卷及逐题解析(2026.2)
207.湖南省常德市2026届高三一模数学试卷及逐题解析(2026.2)
206.湖南省长沙市2026届高三一模数学试卷及逐题解析(2026.2)
205.山东省荷泽市高三期末数学试卷及逐题解析(2026.2)
204.山东省日照市高三期末数学试卷及逐题解析(2026.2)
203.福建省漳州市高三期末数学试卷及逐题解析(2026.2)
202.浙江杭州学军中学高三期末数学试卷及逐题解析(2026.2)
201.浙江金丽衢十二校高三联考数学试卷及逐题解析(2026.2)
200.浙江绍兴市上虞区高三期末数学试卷及逐题解析(2026.2)
199.浙江诸暨市高三期末数学试卷及逐题解析(2026.2)
198.江苏省苏州市高三期末数学试卷及逐题解析(2026.2)
197.湖南省长郡中学高三期末数学试卷及逐题解析(2026.2)
196.山东省威海市高三一模数学试卷及逐题解析(2026.2)
195.江苏省镇江市高三零模数学试卷及逐题解析(2026.2)
194.浙江湖丽衢三地市高三期末数学试卷及逐题解析(2026.2)
193.广东省梅州市高三期末数学试卷及逐题解析(2026.2)
192.浙江省嘉兴市高三期末数学试卷及逐题解析(2026.2)
190.江苏省无锡市高三期末数学试卷及逐题解析(2026.2)
189.杭州高级中学高三期末数学试卷及逐题解析(2026.2)
187.福建省莆田市1月高三质检数学试卷及及逐题解析(2026.2)
186.广东上进联考高三期末数学试卷及及逐题解析(2026.2)
185.江苏南通市高三一模数学试卷及及逐题解析(2026.1)
184.浙江省强基联盟高三联考数学试卷及及逐题解析(2026.1)
183.浙江省宁波市高三期末数学试卷及及逐题解析(2026.1)
182.福建省七地市高三质检数学试卷及及逐题解析(2026.1)
181.广东湛江市高三一模考数学试卷及及逐题解析(2026.1)
179.2026届浙江温州市三期末考数学试卷及逐题解析(2026.1)
178.2026届金华十校高三期末考数学试卷及逐题解析(2026.1)
177.2026届江苏省盐城南京高三期末试卷及逐题解析(2026.1)
176.2026届金华十校高三期末考数学试卷及逐题解析(2026.1)
175.2026届江苏扬州市高三期末数学试卷及逐题解析(2026.1)
174.2026届广东头市高三期末数学试卷及逐题解析(2026.1)
173.2026届江西金太阳高三期末数学试卷及逐题解析(2026.1)
172.2026届广东省惠州市高三调研试卷及逐题解析(2026.1)
171.2026届山东高考质量联盟高三试卷及逐题解析(2026.1)
170.2026届安徽省六校联考高三数学试卷及逐题解析(2026.1)
169.2026届河南省开封一模高三数学试卷及逐题解析(2026.1)
168.2026届河北张家口高三期末数学试卷及逐题解析(2026.1)
167.2026届湖北州市高三期末考数学试卷及逐题解析(2026.1)
166.2026届湖南战略合作学校高三试卷及逐题解析(2026.1)
165.2026届广东高州市高三数学试卷及逐题解析(2026.1)
164.2026届湖南名校联考高三数学试卷及逐题解析(2026.1)
163.2026届福建宁德市三校高三数学试卷及逐题解析(2026.1)
162.2026届福建高中适应性高三数学试卷及逐题解析(2025.12)
161.2026届山东名校联盟高三数学试卷及逐题解析(2025.12)
160.2026届湖南湘一名校联盟高三试卷及逐题解析(2025.12)
159.2026届江苏五市联考高三数学试卷及逐题解析(2025.12)
158.2026届福建福州六校月高三数学试卷及逐题解析(2025.12)
157.2026届安徽县中12月高三数学试卷及逐题解析(2025.12)
156.2026届高三清华学术能力测试试卷及逐题解析(2025.12)
155.2026届广州市高三调研数学试卷及逐题解析(2025.12)
154.2026届福建百校联考高三数学试卷及逐题解析(2025.12)
153.2026届高三八省T8联考数学试卷及逐题解析(2025.12)
152.2026届河北N20名校高三数学试卷及逐题解析(2025.12)
151.2026届湖北云学联盟高三数学试卷及逐题解析(2025.12)
150.2026届河南青桐鸣高三联考数学试卷及逐题解析(2025.12)
149.2026届12月湖南雅礼中学三数学试卷及逐题解析(2025.12)
148.2026届湖北楚天协作体高三数学试卷及逐题解析(2025.12)
147.2026届河南安鹤联盟高三数学试卷及逐题解析(2025.12)
146.2026届广东纵千联盟高三数学试卷及逐题解析(2025.12)
145.2026届江西萍乡市12月高三数学试卷及逐题解析(2025.12)
144.2026届安徽华师联盟12月数学试卷及逐题解析(2025.12)
143.2026届山东重点中学联考数学试卷及逐题解析(2025.12)
142.2026届湖北省十一校联考数学试卷及逐题解析(2025.12)
141.2026届广东惠州“六校联盟”数学试卷及逐题解析(2025.12)
140.2026届广东领航高中联盟数学试卷及逐题解析(2025.12)
139.2026届湖南教学教研联盟高三试卷及逐题解析(2025.12)
138.2026届安徽省五校联盟高三数学试卷及逐题解析(2025.12)
137.2026届广东金太阳高三联考数学试卷及逐题解析(2025.12)
136.2026届安徽鼎尖名校高三数学试卷及逐题解析(2025.11)
135.2026届河南重点中学高三数学试卷及逐题解析(2025.11)
134.2026届湖南省名校高三联考数学试卷及逐题解析(2025.11)
133.2026届江苏盐城市高三期中数学试卷及逐题解析(2025.11)
132.2026届江苏常州市高三期中数学试卷及逐题解析(2025.11)
131.2026届河南新未来高三联考数学试卷及逐题解析(2025.11)
130.2026届江苏苏州市高三期中数学试卷及逐题解析(2025.11)
129.2026届福建名校联盟高三数学试卷及逐题解析(2025.11)
128.2026届浙江温州市高三一模数学试卷及逐题解析(2025.11)
127.2026届浙江“9 +1”联盟高三联考试卷及逐题解析(2025.11)
126.2026届浙江稽阳联谊高三联考数试卷及逐题解析(2025.11)
125.2026届山东德州市高三期中数学试卷及逐题解析(2025.11)
124.2026届广东江门市高三一模数学试卷及逐题解析(2025.11)
123.2026届安徽天一联考高三期中试卷及逐题解析(2025.11)
122.2026届山东临沂市高三期中数学试卷及逐题解析(2025.11)
121.2026届江淮十校联盟高三数学试卷及逐题解析(2025.11)
120.2026届湖北黄冈市高三期中数学试卷及逐题解析(2025.11)
119.2026届山东烟台市高三期中数学试卷及逐题解析(2025.11)
118.2026届浙江台州高三一模数学试卷及逐题解析(2025.11)
117.2026届安徽九师联盟高三数学试卷及逐题解析(2025.11)
116.2026届江西赣州市高三期中数学试卷及逐题解析(2025.11)
115.2026届湖南省名校联盟高三联考试卷及逐题解析(2025.11)
114.2026届湖南湘东教学联盟高三一模试卷及解析(2025.11)
113.2026届浙江丽水湖州衢州三地市检测试卷及解析(2025.11)
112.2026届浙江绍兴市11月诊断数学试卷及逐题解析(2025.11)
111.2026届浙江宁波11月模拟数学试卷及逐题解析(2025.11)
110.2026届浙江金华十校一模考数学试卷及逐题解析(2025.11)
109.浙东北县域名校发展联盟数学试卷及逐题解析(2025.11)
108.2026届湖北省鄂东南教育联盟数学试卷及解析(2025.11)
107.2026届浙江杭州市11月调研数学试卷及逐题解析(2025.11)
106.2026届广东湛江市10月调研数学试卷及逐题解析(2025.11)
105.2026届浙江三校高三联考数学试卷及逐题解析(2025.10)
104.2026届广东金太阳10月联考数学试卷及逐题解析(2025.10)
103.2026届江苏南京、镇江、徐州试卷及逐题解析(2025.10)
102.2026届广东清远市高三10月统测试卷及逐题解析(2025.10)
101.2026届河北十六校高三10月联考试卷及逐题解析(2025.10)
100.2026届河南天一大联考天一小高考卷及逐题解析(2025.10)
99.2026届河南省信阳市高三10月统测卷及逐题解析(2025.10)
98.2026届福建省重点学校10月联考卷及逐题解析(2025.10)
97.2026届广东省普通高中毕业班调研卷及逐题解析(2025.10)
96.2026届广东佛山市高三10月联考卷及逐题解析(2025.10)
95.2026届广东省大湾区高三联考卷及逐题解析(2025.10)
94.2026届江苏如东一中四校高三联考卷及逐题解析(2025.10)
93.2026届江苏省如皋市高三调研卷及逐题解析(2025.10)
92.2026届湖江苏省高邮市高三调研卷及逐题解析(2025.10)
91.2026届湖北省腾云联盟高三联考卷及逐题解析(2025.10)
90.2026届安徽省皖南八校大联考卷及逐题解析(2025.10)
89.2026届浙江省杭州第二中学月考卷及逐题解析(2025.10)
88.2026届深圳中学第一次考试数学卷及逐题解析(2025.10)
87.2026届山东名校考试联盟考试数学卷及逐题解析(2025.10)
86.2026届安徽江南十校联考数学卷及逐题解析(2025.10)
85.2026届浙江强基联盟高三联考数学卷及全解析(2025.10)
84.2026届山东省百校大联考数学卷及逐题解析(2025.10)
79.2026届江浙皖发展共同体联考数学卷及全解析(2025.10)
78.2026届追梦统一模拟考试高三数学试卷及全解析(2025.10)
76.2026届湖南长沙一中10月高三数学试卷及全解析(2025.10)
75.2026届河南TOP二十名校高三数学试卷及全解析(2025.10)
74.2026届河北省衡水市部分校高三三调试卷及全解析(2025.9)
73.2026届河南部分学校高三顶尖计划试卷及全解析(2025.9)
72.2026届广东金太阳联考高三数学试卷及全解析(2025.9)
71.2026届湖南省九校联盟联考高三数学试卷及全解析(2025.9)
70.2026届江西省创智协作体联考数学试卷及全解析(2025.9)
69.2026届安徽A10联盟高三9月诊断数学试卷及全解析(2025.9)
68.2026届湖北省协作体高三联考数学试卷及全解析(2025.9)
67.2026届河北沧州市高三联测考试数学试卷及全解析(2025.9)
66.2026届江苏苏州市九月阳光调研数学试卷及全解析(2025.9)
65.2026届山东肥城市高三学情检测数学试卷及全解析(2025.9)
64.2026届湖北省黄冈市9月调研数学试卷及全解析(2025.9)
63.2026届河南省顶级名校高三联考数学试卷及全解析(2025.9)
62.2026届福建省泉州市毕业班检测数学试卷及全解析(2025.9)
61.2026届河北省唐山市高三调研数学试卷及全解析(2025.9)
58.2026届湖北省部分名校9月月考数学试卷及全解析(2025.9)
57.2026届湖南省永州市一模数学试卷及全解析(2025.9)
51.2026届河北省卓越联盟调研数学试卷及全解析(2025.9)
50.2026届天一四省大联考数学试卷及全解析(2025.9)
49.2026届河南青桐鸣大联考数学试卷及全解析(2025.9)
48.2026届安徽省六校教育研究会开学考试卷及全解析(2025.9)
47.2026届湖南省雅礼中学高三开学考试卷及全解析(2025.9)
46.2026届湘豫联考高三开学考数学试卷及全解析(2025.9)
45.2026届山东省济南市开学考摸底考数学试卷及全解析(2025.9)
44.2026届安徽省华师联盟开学考数学试卷(2025.9)
43.2026届湖北武汉九月调研测试数学试卷(2025.9)
40.2026届深圳市罗湖区高三开学质量检测试卷及全解析(2025.9)
39.2026届山东名校联盟开学摸底考考试试卷及全解析(2025.9)
38.2026届湖北省楚天协作体9月起点考试试卷及全解析(2025.9)
37.2026届杭州高级中学高三返校考试卷及全解析(2025.9)
36.2026届浙江省杭州第四中学高三返校考试卷及全解析(2025.9)
34.2026届河北省衡水市第二次调研试卷及全解析(2025.9)
33.2026届安徽省县中联盟学情检测试卷及全解析(2025.9)
32.2025学年浙江省名校协作体试卷及全解析(2025.9)
31.湖南省名校联考联合体高三第一次联考试卷及全解析(2025.8)
30.安徽省A10联盟高三学情调研数学试卷及全解析(2025.8)
29.浙江省七彩阳光联盟高三返校考数学试卷及全解析(2025.8)
28.浙江省强基联盟高三返校考数学试卷及全解析(2025.8)
27.浙江省A9联盟高三返校考数学试卷及全解析(2025.8)
26.安徽省江淮十校高三第一次联考数学试卷及全解析(2025.8)
25.浙江省学军中学高三上学期开学考数学试卷及全解析(2025.8)
24.河南省天立教育高三上学期开学考数学试卷及全解析(2025.8)
23.江西省2026届高三入学摸底考试数学试卷及全解析(2025.8)
22.湖北省武汉市九师联盟高三联考数学试卷及全解析(2025.8)
17.2025年8月湖南省天壹名校联盟高三联考数学试卷及全解析
16.2025年8月炎德英才大联考雅礼中学高三月考数学试卷及全解析
15.2025年8月河北省定州中学高三开学考数学试卷及全解析
14.2025年8月湖北省腾云联盟高三开学考数学试卷及全解析
13.2025年8月江苏省启东中学高三第一次测试数学试卷及全解析
11.2025年8月福建省闽东教科联盟高三联考数学试卷及全解析
4.2025年7月湖北省武汉市江汉区高三摸底考数学试卷及解析
2025届新高考高三试卷(进入下面链接查找)


你若有好的解答或好的问题,欢迎 发到471055561@qq.com
文章下载网址:
链接:
https://pan.baidu.com/s/1_RMF5T_ZxNP5UdHL70O1Bg?pwd=sxzx提取码sxzx也可点击下面原文阅读