文末加入★高中学习资料群★免费!
推荐阅读>>【全科试卷】全国各地高三模拟考试26年3月合集(1)
推荐阅读>>26物理试卷 | 26年3月全国各地高三模拟考试物理试题

全科试卷电子版下载:全国各地高三模拟考试26年3月合集(语文-数学-英语-物理-化学-生物-政治-历史-地理 试卷+参考答案)
https://pan.baidu.com/s/1O3aacdGz_uOcWmAaeJzpng?pwd=8888
提取码:8888
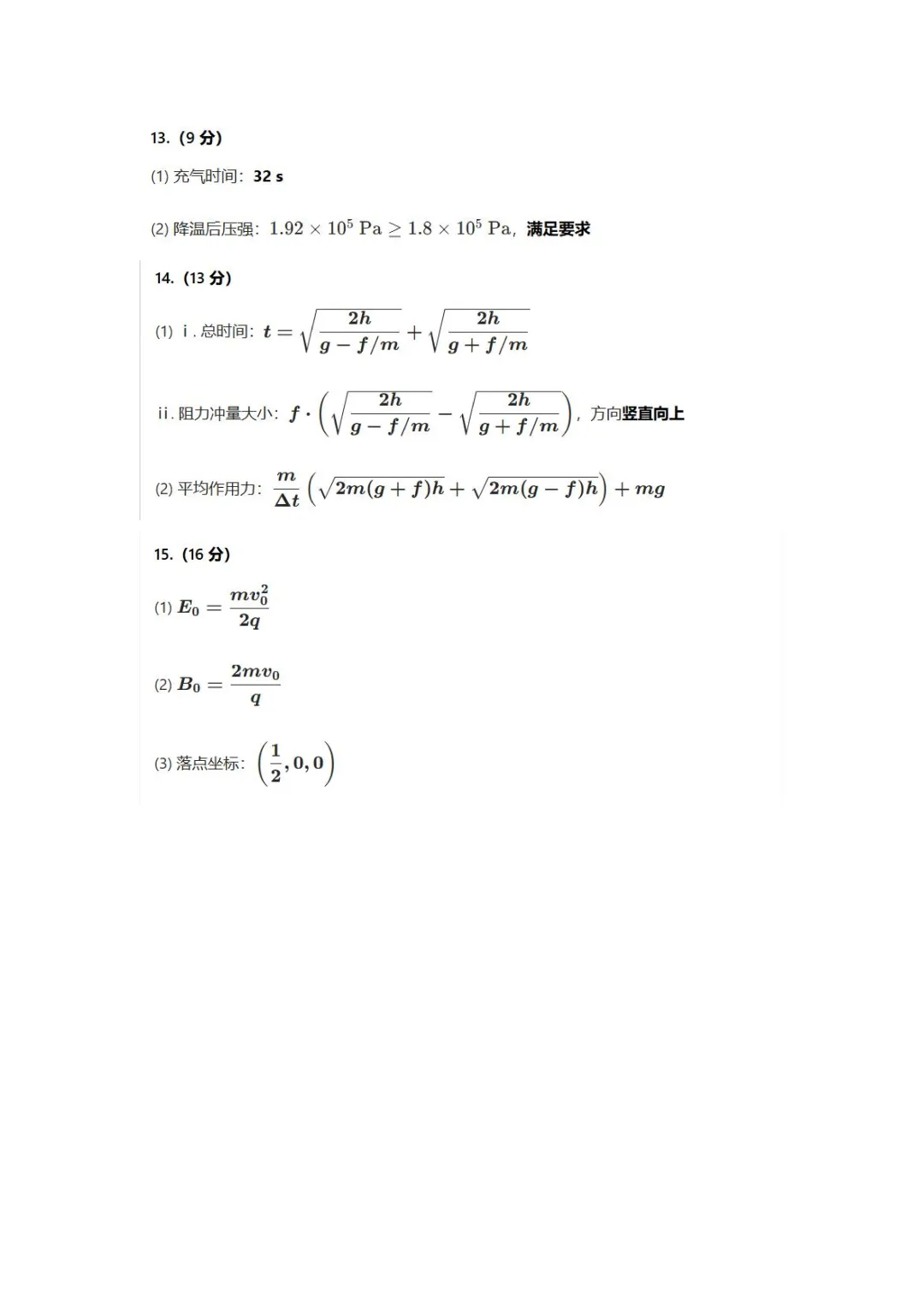
2026届广州市高三毕业班综合测试(一)物理








加入高中学习资料群,获取更多资料!
01
高中学习资料群(全科免费)

同步讲义+课件(部分)
主要包含各科讲义和课件,如:一轮复习讲义、步步高同步讲义、5·3课件、寒暑假培训讲义、培优讲义等。
真题卷+模拟试题
主要包含各科近年的真题套卷、真题分类汇编,各地高三模拟试题、月考卷、名校卷等。
精品资料
主要是公众号定期更新的优质资源,但不限于公众号内容(因为在公众号小编只发布物理相关资料)。
02
数/理/化/生 学科资料群
重点介绍:高中物理学习资料群
(其他学科群同样精彩!)
1.1 高考真题套卷
1.2 高考真题分类汇编
2.1 教材+教师用书电子版
2.2 教材同步讲义+练习(高一高二)
2.3 知识清单+思维导图(按专题/教材分)
2.4 模型突破+专题突破
3.1 高考一轮、二轮讲义等
3.2 高考专题复习资料
4.0 配套课件(更新中……)
5.1 公众号物理培优讲义(Word)
5.2 公众号单元复习资料(课件+讲义)
寒暑假讲义(寒暑假更新)
期中期末复习资料(不定时更新)
高三全国各地模拟试题(日更)
加群方式
加群主QQ1589391087,关注公众号【A学习飞Yang】,到主页精选文章末尾点击喜欢作者并赞赏,或联系群主直接扫码+ZF(20元/科),将截图发送即可进群!
先联系群主

!

【免责声明】
【1】本公众号所分享的教学资料(含文档、图片等)均来源于公开渠道或自主整理,仅供学习交流使用,不用于商业用途。
【2】资料版权归原作者及原出处所有,若涉及侵权,请联系我们删除。
【3】资料内容仅供参考,不保证绝对准确性,使用者需自行甄别。
【4】因使用资料产生的一切责任与本号无关。感谢理解与支持!