中学数学星空、星空高中数学--热点数学问题的交流空间
大家好,最近很多读者说收不到中学数学星空的推送,那是因为公众号改了推送规则,时间线被打乱了。「星标」中学数学星空,就能每天第一时间收到公众号推送的优质文章啦。具体操作只有三步:
step1.点击文章标题下面的蓝字“中学数学星空”;step2.点击手机右上角的“…”;step3.选择“设为星标”。step4,中学数学星空公众号尽力推出精品文案推送给大家.
星空系列群
星空教师1群:223476941(满)
星空教师2群:786850713(满)
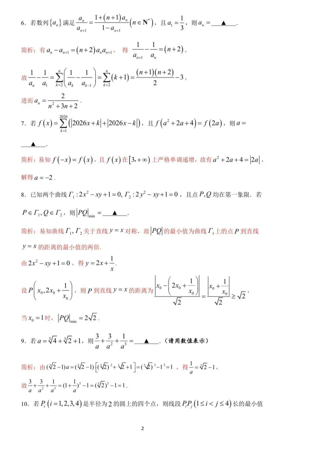
星空教师3群:935654595
2020及2021届学生1群:699804492
2022届学生群:1036228038
2023届学生群:1143346817
2024届学生群:264013574
2025届学生群:1036229236
强基与竞赛交流群:531930321
公众号从成立到今,粉丝已经达到125000多人,感谢大家一些以来对我的支持与帮助,也感谢资料编辑与策划的同伴们的辛勤劳动的付出,同时在杨岸杰老师视频课的帮助下与各群员的捐助下,成立了群基金,新一年也是新一轮征程的发起端。站在通往未来新的起跑线,要学会总结及反思昨天的一切,精心谋划明天的蓝图,思索经营未来,播种希望,与时俱进,开拓创新,收获成功与幸福
星空第二公众号:星空高中数学已经推出,面向新高考地区试卷与资料,可以扫码进入学习.
(文章最下方有下载试卷与答案网址)


解析(答)部分





2025年数学竞赛试卷汇总


你若有好的解答或好的问题,欢迎 发到471055561@qq.com
文章下载网址:
链接:
https://pan.baidu.com/s/1TRfbLVrYtOOsf3TAHtUJSw?pwd=sxzx
提取码sxzx也可点击下面原文阅读