45

中学数学星空、星空高中数学--热点数学问题的交流空间
致各位读者:因为公众号平台改变了推送规则,如果想正常看到“中学数学星空”的推送,可能需要大家在阅读后,在文末右下角点一下“在看”或者“星标”,我们每次的新文章才会第一时间出现在你的订阅列表里,人海茫茫,不想和大家错过。
一路走来,感恩相伴!
不知不觉,本公众号粉丝已突破21.8 万 +。
衷心感谢广大师生、家长长久以来的信任、支持与一路同行;也诚挚感谢所有参与资料编辑、内容策划的团队伙伴,默默深耕、用心付出,打磨每一份学习教研资源。
依托优质课程内容支持,我们一定凝心聚力,持续把公益教研、助学分享、资料共建的服务做得更稳、更长久。
新岁启新程,初心再出发。






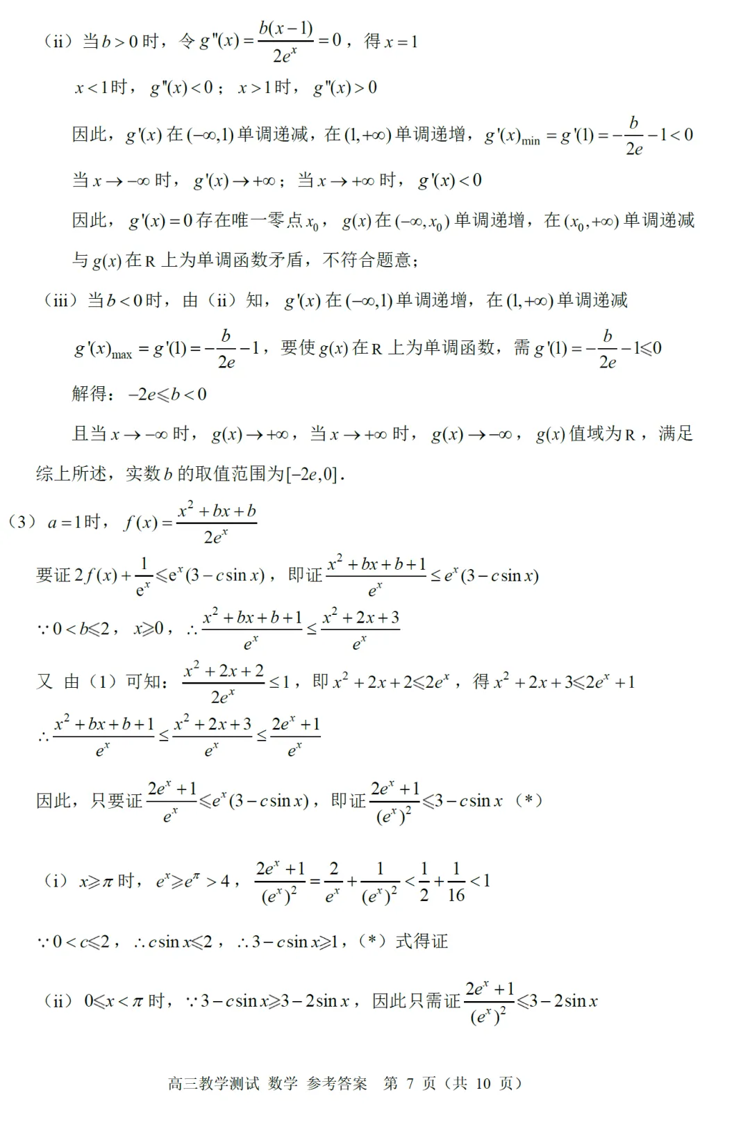
解析(答)部分










2026届新高考高三试卷汇总
246.必刷卷推荐:杭州市二模高三数学试卷及逐题解析(2026.4)
245.台州市二模高三联考数学试卷及逐题解析(2026.4)
244.江西省八所重点中学高三联考数学试卷及逐题解析(2026.4)
243.湖北荆州市高三调研数学试卷及逐题解析(2026.4)
242.山东中学联盟高三联考数学试卷及逐题解析(2026.4)
241.湖南湘潭市高三三模数学试卷及逐题解析(2026.4)
240.福建厦门市高三二检数学试卷及逐题解析(2026.4)
239.天一大联考高三联考数学试卷及逐题解析(2026.3)
238.河南九师联盟高三联考数学试卷及逐题解析(2026.3)
237.湖北黄石市高三3月模拟数学试卷及逐题解析(2026.3)
236.江苏省苏北七市高三第二次调研数学试卷及逐题解析(2026.3)
235.湖北省黄冈中学等十一校高三数学试卷及逐题解析(2026.3)
234.江苏省南通市高三调研考数学试卷及逐题解析(2026.3)
233.浙江嘉兴市桐乡市高三调研考数学试卷及逐题解析(2026.3)
232.江苏苏锡常镇四市高三调研考数学试卷及逐题解析(2026.3)
231.湖南天一大联考高三数学试卷及逐题解析(2026.3)
230.湖南名校大联盟高三联考数学试卷及逐题解析(2026.3)
229.广东省广州市高三统考数学试卷及逐题解析(2026.3)
228.广东2026届高三一模数学试卷及逐题解析(2026.3)
227.金丽衢十二校高三第二次联考数学试卷及答案(2026.3)
226.浙江宁波十校高三联考数学试卷及逐题解析(2026.3)
225.湖北省黄冈市高三模拟数学试卷及逐题解析(2026.3)
224.山东省青岛市高三零模数学试卷及逐题解析(2026.3)
223.江苏省扬州市高三模考数学试卷及逐题解析(2026.3)
222.湖南九校联盟高三第二次联考数学试卷及逐题解析(2026.3)
221.河北唐山市高三一模数学试卷及逐题解析(2026.3)
219.浙江省杭州第二中学高三开学考数学试卷及逐题解析(2026.3)
218.福建莆田市高三二模数学试卷及逐题解析(2026.3)
217.广东省佛山市顺德区高三二模数学试卷及逐题解析(2026.3)
215浙江省名校协作体高三联考数学试卷及逐题解析(2026.3)
214.浙江强基联盟高三联考数学试卷及逐题解析(2026.3)
213浙江省新阵地教育联盟高三联考数学试卷及逐题解析(2026.3)
212.湖南雅礼中学高三开学考数学试卷及逐题解析(2026.3)
211.河南九师联盟高三开学联考数学试卷及逐题解析(2026.3)
210.安徽A10联盟高三联考数学试卷及逐题解析(2026.3)
2026届新高考高三试卷汇总
2025届新高考高三试卷(进入下面链接查找)
星空欢迎大家交流研讨
星空教师1群:223476941(满)
星空教师2群:786850713(满)
星空教师3群:935654595
星空教师4群:562426273
2026届学生1群:699804492
2026届学生2群:1143346817
2027届学生群:1036228038
2027届学生2群:264013574
2028届学生群:1036229236
强基与竞赛交流群:531930321
