高效早读分激情诵读(晨读)与记忆早读两部分。
激情诵读要求:立正站直,挺胸抬头;规范持晨读材料,整齐划一;大声朗读,声音洪亮;富有激情,始终如一。
语文、英语记忆早读基本流程
1)、教师向学生明确早读目标,要求具体、可操作、可检测、分层;并明确诵读记忆时间。
2)、学生选择适合自己记忆方式诵读记忆。可大声读也可小声读甚至默读;可坐着读,也可站着读甚至选择位置读;可在室内读也可在室外读;可个人读,也可对读、群读;可先读后写也可边读边写;可借助关键词、逻辑关系等寻找规律读记也可借助思维导图读记等等。特别提醒:学生还要背英语笔记上内容。
3)、5分钟早读效果检测。同步背诵过关,再选择自测、互测、抽测等形式背默检测效果。特别提醒:从背诵到背默双过关,背默不过关的学生课后要跟进纠错。
4)、优等生不能陪读。规定早读目标完成后,要让其养成自定、及时启动个人早读目标。
5)学困生语文英语不会背的原因是字词不认识不会读,在大部分学生开始背书时,把学困生单独集中在教室后面,帮助学困生先会读,然后再回到座位上去背诵、去记忆。
特别提醒:早读课上也要培优补差,第4条说的是培优,5条说的是补差。
管理细则:1)早读像正课一样观摩研讨,有公开课、创新课展示;2)有原来仅呈现学习目标进化到早读方案全流程设计呈现:早读目标、背诵方法建议、指导、推荐、考核累积评价,还有背诵激励性励志名言;3)早读板书创新设计评比;4)有特意设计的早读背默本及严格规范订证及奖惩机制;5)班级张贴有各学科早读背诵、默写日、周、月过关公示表。
早读要处理好三个关系:(1)早读内容与正课学习之间关系;(2)有感情朗读与背诵、记忆知识点关系;(3)共读内容与学生自选内容、查漏补缺关系。
早读三忌:一忌早读变成教师讲课;二忌早读变成班级事务处理课;三忌早读目标任务要求一刀切;内容缺乏整体规划、缺乏系统性。
早读三应:一应让学生有个好心情;二应捎带对学生进行生理晨检;三应让学生思考日计划。
类型1:单元复习课
基本流程:
1)让学生选择不同方法对单元知识进行梳理、归纳、总结,把碎片化知识构建成系统知识网络。总结方法有:罗列法、比较法、列表法、知识树法、鱼骨头图法、思维导图法。步骤为:自我初步总结一一观看、学习优秀学生总结一一修订、完善自己总结一一理解消化记忆总结中涉猎知识点。(精学)
2)师生、生生合作对本单元题型、解题方法、思维类型进行规律加典型例题式总结。(精析)
3)生生合作对典型例题(特指逆向思维、变式思维、综合思维的题)进行剖析。让学生分享易错点、易混点及积累好题。(精练)
4)独立完成检测(精测)
5)习后反思(精结)。
该复习课内容较多,可采取一课二上。一课时完成环节1,二课时完成上述环节2、3、4、5。
案例1:
利用基本图形多元表征复习(平行四边形性质复习课)
(1)出示一个平行四边形,问这个图形提供了什么信息:思考已知一个平行四边形周长,邻边的比、邻角的比求邻边的和、邻边长、邻角度数(2)出示一个有一条对角线的平行四边形,问这个图形提供了什么信息:思考图中有几对相等的角、三角形?(3)出示了有两条对角线的平行四边形,问这个图形提供了什么信息:图中有几对相等的角、三角形?已成一条边和一条对角线长,求另一边取值范围?已知一边长,给两条对角线看能否组成平行四边形?(4)出示了有两条对角线的平行四边形并且添了一条过对角线交点的线与两边相交,问这个图形提供了什么信息?思考图中共有几对全等三角形?(5)出示了有两条对角线的平行四边形,添了一条过对角线交点的线与两边相交并延长与另二边相交,问这个图形提供了什么信息?(6)出示添了一条内角平分线的平行四边形,问这个图形提供了什么信息?思考相关知识在提供习题中运用。(7)如何在一个平行四边形中画两条直线,将其分割成四部分,使含有一组对顶角的两个图形全等?这样分割线有多少组?案例2:
文言文复习课例子
协商制定学习目标后分二大模块推进。
(1)、引导学生盘点考什么(内容形式)、怎么考(设题技巧)、怎么答(解题技巧)
先课前让学生独立思考;课上直接进入小组合学;选小组展示质疑补充;教师出示课标要求,呈现考纲考点及自己思考提升点拨;
编题自练相当于设疑自探。让每个学生扮演"假若你是出题教师,你会怎么出题,你设题选用了哪些技巧?你拟定的参考答案是什么,用到了什么样解题方法。小组分享,相当于质疑互探。选出小组优秀试题呈现在黑板上;自己选答题小组组长派选手作答;教师呈现命题人出的题及参考答案;比较生疑课后再探;布置让学生自选文本,单独出题,对子互练。编题自炼创意好,编一个题比做一个题更只有挑战性,更是思维含量;考学一体化。考生也要研究课标考纲,才能复习做到有矢`之地。逆向的知彼训练,让学生猜命题人如何设置陷阱?选哪些内容命题等。经过训练知己知彼,定能百战不殆。3、小结:本节课你收获数学经验是什么?
4、作业:请你推荐一至两道精彩题目。
感悟:本节复习课大容量、快节奏,体现了多元表征、建模思维的结构图式;对几何题以往多采用逆推顺证思路,而本节课采用”有已知条件你发现了什么信息”的表征及关联方法,从已知逐步推演到未知。同时对平行四边形定义、性质、对角线等组合概念群有本质理解。
案例3:
数学应用题单元复习课同课异构六类模型
模型一:母体裂变法
环节一:出示母体:选择一个典型分数应用题,让学生用不同方法解答(比如天元小学图书室有故事书200本,故事书比科技书多¼,科技书有多少本?);
环节二:分析母体:概括出算术法借助画线段图分析题意,依据单位1已知或未知列算式;方法是先找到等量关系,把未知当成已知参与运算。
环节三:母体裂变一:所求问题不变,保留一个数量,让学生补充分数条件,只列式不计算。
学生补充条件过程,就是将分数应用题分为"是"几分之几"与多或少几分之"两大类,每类因单位一不同又分两小类。
意图:旨在实现一体多变。
环节四:母体裂变二:母体两个条件不变,让学生提出所求不同问题。
可能提出一步算式,多步算式,学生可分步解答,可列综合算式解答。
意图:旨在实现一题多问。
环节五:母体裂变三:给出一个分数算式,让学生创编符合这个式子应用题
意图:旨在实现多题归一。
环节六:方法整合,寻找共法。
模型二:题型归类法
环节一:课前让学生归纳梳理分数乘除法应用题题型及解题思路。
环节二:教师呈现分数乘除法一个类型,学生解答展示。
环节三:寻找与教师所举类型不一样的题型,让学生在展板呈现出来。
若学生所选题确实与例题不一样,让学生解答,并比较异同;若学生所选题与例题表现不一样,但本质算理相同,引导学生悟出来为什么相同。
环节四:归纳题型及解题思路。
模型三:举三返一法
环节一:举一个顺着想的正向思维题,让学生解答展示。
环节二:举一个"倒着想的逆向思维题,让学生解答展示。
环节三:举一个"比如甲比乙多二分之一米"与“甲比乙多二分之一”易混思维题,让学生解答展示。
环节四:举一个涉及到列综合算式多步应用题,让学生解答展示。
环节五:从思维角度让学生归纳题型及解题思路。
模型四:三讲三纠法
环节一:选择涉及各类题型一组题,先让学生独立思考解答。
环节二:选择出错率比较高、有点难度题,教师讲解,讲时不准写,讲后独立纠错。
环节三:挑中等生上去再讲,教师追问;讲后出同类问题消化。
环节四:挑学困生上去复述或对子之间互说解题思路;课后出变试题巩固拓展。
模型五:猜想表征法
环节一:选一个分数乘除法应用题,不是把例题全盘托出,而是依次给出一个条件,引导学生表征。
解读:表征指的是对例题中的条件进行下列重点解读:1)复杂句子缩句;2)同义句转换;3)推理;4)解释;5)隐藏等量关系;6)隐藏条件;7)联想。表征就是筛选、提取、重组信息,并对信息进行关联、加工、建构。
环节二围绕所给条件猜想下面会问哪些问题或后面会给什么条件。
解读:猜想就是根据现有信息推测出题人后面会再提供什么信息或会问什么问题。所提问题与表征的等量关系、推理一定要有关联。
环节三:选择其中一个问题解答。
意图:这样借助表征+猜想实现了每个条件及整体多思,多问,多变,归一等。
模型六:流动分组法
环节一:选择涉及各类题型有点难度三四道题,分别写在不同黑板上,先让学生独立思考解答。
环节二:每道题选择2个小讲师分别站在所讲题黑板前面。
环节三:其余学生流动起来,哪道题不会去听哪道题,一遍不会听二遍,讲题人一个人讲,另一个去别组听,然后互换。
课后复盘:
1)六年数学分数乘除法单元应用题整理同课异构:教师可依据学情去选择不同模型,路径不同,目标相同,异曲同工。
2)这六个应用题整理模型不仅适合分数,同样对整数、小数也适用。
3)这六个应用题整理模型适合小学各个年级、学段。
4)课改班级与传统教法班级,优秀班与普通班,都可以选择一种适合自己方法。
类型2:
三讲三纠一结总复习课模式
该模式分基本环节:
1、教师出示精选有代表性试题(题组),让学生先独立做,教师巡视批改,发现易错或有创新解法。
2、不是每题都探究,已经会的根本不讲,只研究从第一个环节易出错或有创新解法的题,教师或选学生系统讲解(展示),若时间不够,可只述解题思路。
3、上述研究的习题,中下等生平常没听懂或学会,凭现在一复习,多数学生仍然不清楚明白,因此对重点题要采取先让同桌对说思路方法,再让中等生上板复述,最后再订证。(二纠)
4、教师务必对所学(讲)题,提前做一遍,对学生易错的题心中有个判断,准备好备练巩固习题,让学生进行同类巩固。
5、教师在对这一组题所涉及知识点、思路、方法进行拓展提升。
6、课后针对错题进行变式训练(三纠)。
附:新授课时单元复习课与期末复习时单元复习课有什么不同?
期末复习时单元复习课与新授课时单元复习课在课堂立意、目标达成路径、练习题选择等诸多方面有较大差异,前者决不是后者翻版与重复。
从立意上看:新授课时单元复习课是本单元知识、思维、题型的第一次线性梳理,属于单元内基本建构;而期末复习时单元复习课,属于站在整本书结构上对单元内容的对比、关联的立体、深度建构。
从授课方式及侧重点来看:新授课讲题时重在讲明白公式推导、概念怎样理解,在此基础上才讲基本题型怎么做(应用);习题课不再重点讲公式推导,把重点放在了记和用上;单元复习课重点是讲公式各种推论变式使用;大复习课即期末复习课重在把小规律提升归纳到大规律(多题归一)。在这里我想表达的是课型不同,阶段不同,就是同一类型讲课侧重点也不同,因此不能用上新课套路去上常态单元复习课。同样道理,也不能用新授课时单元复习课套路去上期末复习时大单元复习课。
从选题视角看:
例题、练习题选择、设计要统筹考虑四例四维。四例指的是范例(例题的代表性、示范性)、同例(与例题同类型题)、变例(变式训练题)、仿例(让学生自己出题);四维指的是正向思维(直接代公式、顺着想的题)、逆向思维(公式需变换、需逆向思考的题)、特殊思维(给生活经验有关、有隐藏条件的题)、综合思维(一个题用到多个知识点、公式或放到综合范围内看是否混淆的题)。新授课例题与练习题选择应以考察正向思维题为主,涉及一点点逆向思维题;习题课例题与练习题选择应以考察逆向思维题为主,涉及一些特殊思维题;常态单元复习课例题与练习题选择应以考察特殊思维题为主,涉及一些小综合思维题为主;期末大单元复习课例题练习题选择应考虑以往周清、月清中易错、易混点为主,以考察跨单元综合题为主。
常态单元复习课重在知识、题型系统规纳,重在系统性;而期末大单元复习课重在查漏补缺,强化反馈掌握不好题型,重在思维建模,重在迁移,重在速度、准确度。
课型1:
题型训练习题课
以长方形周长练习课为例:a代表长,b代表宽C代表周长。
题型选择如下:
正向思维:已知a、b,求C
逆向思维:已知a、C,求b
特殊思维:一边靠墙,求周长;或已知长和宽的和求周长
综合思维:已知a、C,求S。
课型2:
题组训练习题课
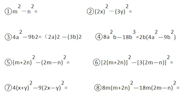
以用平方差公式分解因式为例
用公式a2-b2=(a+b)(a-b)
形象记忆:首尾和,首尾差,中间放个大x。
题组设计:

(2)中等生组建小组围绕“知识点梳理、易错点、易混点辨析”进行合作学习;(3)优等生可围绕“题型盘点、思维方法小结”、编题进行深度学习;内容包括:学期自己的错题摘录;研究总结自己的“犯错”特点;规划自己的“少出错”练习计划。1)、运用图表对本次考试结果进行激励性的正能量评价,忌对考的不太好学生讽刺挖苦。比如语文就可这样通报:总分前5名,男生前5名,女生前5名,进步最大(男女)前五名,作文前5名、阅读前5名,积累前5名等;3)、师生合作重点订证。可按错因、知识点、一题多变等程序组织,可釆取让若干个优等生对错题同步展示,其余学生哪个题不会去听哪个题,即同步展示、流动分组。4)、让学生对错题进行六步纠错。找出错题原因;规范订证;梳理知识点;找一至2道同类题变式巩固;疏理本题涉及知识点;思考此题还会怎么考。5)、考后分析:成绩评价,影响成绩主要因素、采取的措施。特别提醒:环节2也可放在课前进行;若时间还不够,环节4、5可放在课后进行。