


【同类参考】
许兴华——2025高考数学试题II考点分析与2026高考展望











试题全面覆盖高中数学主干知识,无偏题、怪题,注重基础落实与通性通法考查,适度融入情境创新,突出对逻辑推理、数学运算、直观想象、数学建模、数据分析五大核心素养的检测,难度梯度清晰(基础题占50%、中档题占30%、难题占20%),试卷结构固定为:8道单项选择题(40分)、4道多项选择题(20分)、4道填空题(20分)、6道解答题(70分),满分150分。区分度合理,既贴合新课标要求,又兼顾高校人才选拔需求。

【2】









空间几何关系判断
逻辑推理能力:选项 A 和 D 需通过反证法验证,体现高考对逻辑推理能力的考查
选项 B 和 C 需运用直接证明,展示空间几何关系的推导过程。空间想象能力:题目未提供图形,要求考生自主构建空间模型
需理解正三棱柱中中点连线与侧棱的空间关系。此题是2025年高考数学I卷中具有代表性的立体几何题,准确把握正三棱柱的几何特性是解题关键,体现了高考对空间想象能力和逻辑推理能力的综合考查。
【10】


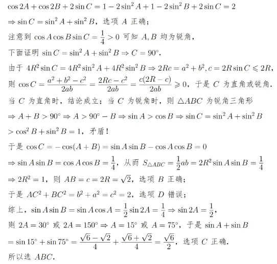
考点分析:核心考点:三角恒等变换、解三角形、三角函数性质

核心考点:导数的几何意义
本题主要考查导数的几何意义——函数在某点的导数值等于曲线在该点处的切线斜率,要求学生理解并应用"切点处导数=切线斜率"这一基本原理。关键能力考查

【14】



【第17题】




2026年高考数学命题将延续素养导向、教考衔接、情境赋能的核心方向,在2025年改革基础上进一步深化,呈现出“基础扎根、思维凸显、素材贴时”的鲜明特征,既坚守考查核心能力的本质,又通过创新设计区分不同层次考生。
从命题趋势来看,试卷难度布局将更加科学分层,形成“基础题保基本、中档题考整合、难题拼创新”的三级结构。基础题占比显著提升,重点考查对教材核心概念、定理公式的本质理解,摒弃机械刷题的得分路径;中档题侧重知识网络的融会贯通,要求考生能跨模块整合函数、数列、几何等知识解决综合性问题;难题则聚焦创新思维与批判性思考,通过全新情境考查用已有知识解决陌生问题的能力,套路化解题将彻底失灵。
试题素材将深度融入科技前沿与人文元素,实现“解题”向“解决真实问题”的转变。函数与导数可能结合AI模型能耗、新能源汽车充电优化等场景,考查数学建模与极值求解;概率统计将升级为条件概率与实际情境的结合,如AI医疗诊断准确率分析等民生科技问题;立体几何则可能融入航天器储液罐体积最大化等工程场景,考查空间想象与跨模块应用能力。同时,约70%的试题将在教材中找到原型,或为例题改编,或为知识综合运用,回归教材成为备考的关键。
复习要求上,考生需把握“回归教材、构建网络、强化思维”三大核心。首先,要深挖教材价值,对重要定理公式尝试多种推导方法,对典型例题习题进行变式探究,吃透知识本质;其次,要站在整体视角构建知识网络,通过思维导图梳理模块间的多元联系,如函数与导数的变化率关联、数列与函数的累积关系,为灵活运用知识奠定基础;最后,要转变学习方式,从被动刷题转向主动探究,多接触真实情境问题,训练从复杂素材中提炼数学模型的能力,同时注重规范答题,避免因步骤缺失导致中档题失分。
此外,不同层次考生需制定差异化策略:基础薄弱者应抓牢基础题,确保核心知识点不丢分;中等生需突破“会但做不对”的瓶颈,强化解题规范与限时训练;冲刺高分者则要主动挑战新颖情境题,训练从科技前沿素材中抽象学科模型的能力,攻克压轴创新题。唯有如此,才能在2026年高考中从容应对命题变化,实现能力与分数的双重突破。
【参考阅读】
许兴华——2025高考数学试题II考点分析与2026高考展望

【举世瞩目】2026八省联考高三数学试题与详解(许兴华数学)
惊艳!T8联考,质量极高!高考前的好卷子不一定要全做,但关键的几题一定要看看思路!
