期中试卷
2026长沙外国语学校九年级期中数学卷


19,坐落于长沙橘子洲头的毛泽东青年艺术雕塑,以1925年青年时期毛泽东形象为艺术原型,突出表现伟人青年时代胸怀大志,风华正茂的气概,该雕塑通过伟人文化为名洲增色,是红色之洲的代表作。某校九年级学生在数学实践活动课时对该雕塑的高度进行了测量。如图,在点C处用测角仪测得雕塑顶部A的仰角为45°,向远离雕塑AB的方向走13.2m到达点D处,在点D处测得雕塑顶部A的仰角为35°,已知测角仪距地面的高FC=ED=1.2m,求雕塑AB的高度约为多少米?(结果精确到lm.参考数据:sin35°≈0.57,cos35°≈0.82,tan35°≈0.70).

20. 为落实国家“双减”政策,某中学开展了“音乐社团、体育社团、文学社团、美术社团”活动.该校从全校3000名学生中随机抽取了部分学生进行“你最喜欢哪一种社团活动(每人必选且只选一种)”的问卷调查,根据调查结果,绘制了如图所示的两幅不完整的统计图.
根据图中信息,解答下列问题
(1)参加问卷调查的学生共有_______人;
(2)条形统计图中m的值为________,扇形统计图中a的度数为_______;
(3)现从“文学社团”里表现优秀甲、乙、丙、丁四名同学中随机选取两名参加演讲比赛,请用列表或画树状图的方法求出恰好选中甲和乙两名同学的概率.

21.如图,在△ABC中,D、E分别为AB、AC的中点,DF⊥BC,垂足为F点G在DE的延长线上,DG=FC。
(1)求证:四边形DFCG是矩形;
(2)若BF=DF=3,DG=5,求AC的长.

22. 湖南省足球联赛(简称“湘超”)已圆满结束,但广大市民对足球的热情依然很高,体育中心附近商店销售的赛事文创产品也一直很受欢迎.某商店准备销售文创产品,用600元购进吉祥物“湘湘”,用900元购进吉祥物“超超”,“超超”购进单价是“湘湘”购进单价的2倍,“超超”的购进数量比“湘湘”的购进数量少30个.
(1)该商店“湘湘”的购进单价为多少元?
(2)该商店将“湘湘”的售价定为10元/件,如果要使得总利润不低于1140元,那么“超超”的售价最低应定为每件多少元?


答案解析
难题解析
解:由题意,小南参加②或③,小雅参加①或②,小星参加①或③,
∵参加趣味数独②的是小南或小辰,
若小南参加②,则小雅只能参加①,小星只能参加③,小辰参加④,
此时四人项目分别为②、①、③、④,互不相同,符合题意;
若小辰参加②,则小南参加③,小雅参加①,小星只能参加①或③,但此时项目①和③均已被选,导致小星无项可选,与题意矛盾,不符合题意;
∴小南、小雅、小星、小辰分别参加的项目为②、①、③、④,
故答案为:②①③④.
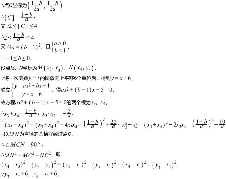
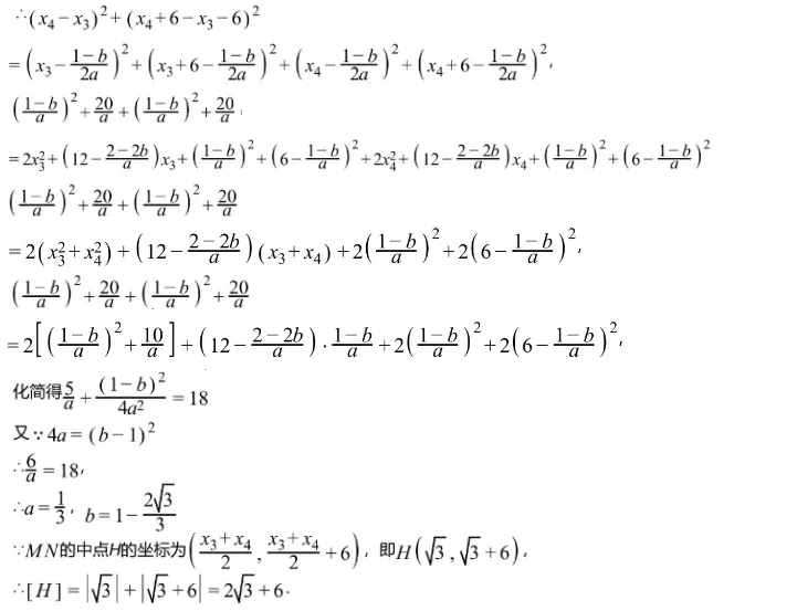
第23题解析


第24题解析







初中数学精品资料
七年级数学资料
八年级数学资料
九年级数学资料
2026中考模拟
2025中考数学压轴题解析
更新中.........
2025中考真题
更新中.........
中考数学最值微课
更新中.........
中考数学知识拓展
更新中.......