点击上方蓝字 关注本号





























【初二试卷】吉林市九中初二上学期期末数学试卷2025—2026年(最新试题)
【初二试卷】吉林市五中初二上学期期末数学试卷2025—2026年(最新试题)
【初二试卷】吉林市23中初二上学期期末数学试卷2025—2026年(最新试题)
【初二试卷】吉林市29中初二上学期期末数学试卷2025—2026年(最新试题)
【初二试卷】吉林市松花江初二上学期期末数学试卷2025—2026年(最新试题)
【初二试卷】吉林市博达中学初二上学期期末数学试卷2025—2026年(最新试题含答案)
【初二试卷】吉林市吉化9中初二上学期期末数学试卷2025—2026年(最新试题)
【初二试卷】吉林市吉化三中初二上学期期末数学试卷2025—2026年(最新试题)
【五中试卷】吉林市五中初二上学期期末数学试卷2024—2025年(含答案)
【七中试卷】吉林市七中初二上学期期末数学试卷2024—2025年(含答案)
【九中试卷】吉林市九中初二上学期期末数学试卷2024—2025年(含答案)
【松花江试卷】吉林市松花江中学初二上学期期末数学试卷2024—2025年(含答案)
【初二上数学期中试卷大合集】吉林市九23中,化六,亚桥桃源29,博达,松花江,七中,九中2025—2026(整理不易,多多转发)



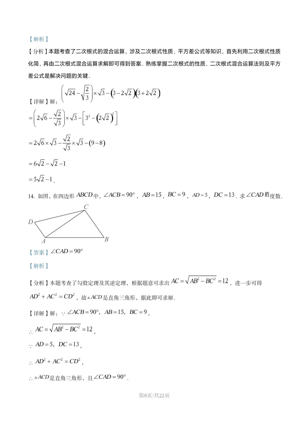
关于我:
学海无涯、育人育己。从事数学思维工作已近50载,只专注于两件事,让教育公平、让自己提升,成长一直在路上。为了不走丢,点击下方名片关注我:
免责声明:所载内容来源于互联网,微信公众号等公开渠道,我们对文中观点持中立态度,本文仅供参考、交流。转载的稿件权归原作者和机构所有,如有侵权,请联系我们删除。
