当前位置:首页>考研真题>江苏苏北六校2026届高三二模数学试卷+答案

江苏苏北六校2026届高三二模数学试卷+答案

  • 2026-04-28 15:37:23
江苏苏北六校2026届高三二模数学试卷+答案

江苏苏北六校2026届高三二模数学试卷深度评析

一、试卷整体架构与难度梯度

1. 结构设计科学合理

本试卷严格遵循新高考评价体系,总分150分,考试时间120分钟,题型分布均衡:

  • 基础能力区:单项选择8(40)
  • 综合能力区:多项选择3(18)+填空题3(15)+解答题5(77)
  • 知识模块分布:函数与导数(28%)、解析几何(20%)、立体几何(15%)、三角函数(12%)、概率统计(10%)、数列(8%)、向量与复数(7%)

2. 难度梯度层次分明

  • 基础层次(30%):如第1(复数模长)、第2(集合包含关系)、第12(二项式展开)等,主要考查基本概念理解与简单计算
  • 中等层次(45%):如第3(向量垂直)、第4(三角恒等变换)、第5(圆的公共弦)、第6(概率计算)等,需要一定分析能力与知识迁移
  • 高难层次(25%):如第7(抛物线焦点角)、第8(三角形面积与角平分线)、第11("λ-Sn数列"定义)、第19(函数综合)等,对数学思维与创新能力要求极高

3. 能力考查维度多元

  • 数学抽象:第11题数列新定义、第19题函数性质
  • 逻辑推理:第10题立体几何截面、第17题四棱锥性质
  • 数学建模:第16题投篮比赛概率模型
  • 直观想象:第10题长方体截面、第17题四棱锥空间关系
  • 数学运算:第4题三角变换、第18题双曲线方程
  • 数据分析:第9题数据特征、第16题期望决策

二、命题特色与创新方向

1. 创新题型设计彰显能力导向

  • 新定义题型:第11"λ-Sn数列"概念,考查学生接受新信息与逻辑推理能力
  • 实际应用背景:第16题投篮比赛规则,将概率期望与决策分析结合
  • 多选题设置:第9-11题多选题,增加思维广度与严谨性要求

2. 思维能力导向明确

  • 多角度思考:第9题数据特征分析,需从多个统计量角度验证
  • 严谨推导:第19(3)证明不等式,要求严密逻辑与函数性质分析
  • 探究意识:第17(3)存在性问题,培养研究精神
  • 过程重视:解答题强调步骤分,看重思维过程而非仅结果

3. 核心素养深度融合

  • 数学抽象:第11题、第19题函数抽象
  • 逻辑推理:第10题、第17题几何推理
  • 数学建模:第16题概率决策模型
  • 直观想象:第10题、第17题空间几何
  • 数学运算:第4题、第18题复杂代数运算
  • 数据分析:第9题、第16题统计与概率分析

三、典型题目深度剖析:第19

题目概要

已知函数f(x)=e^x+sinx-axa∈R
(1)
a=2,求f(x)的单调区间;
(2)
x[0,+)f(x)≥cosx成立,求实数a的取值范围;
(3)
a=1,当x∈[-2π,+∞)时,直线y=my=f(x)的图象有三个交点,横坐标分别为x,x,x(x<x<x),求证:2x<x+x

难度与特点

  • 难度级别:极高(★★★★★),作为压轴题具有极强区分度
  • 综合性强:融合函数单调性、不等式恒成立、零点分布、对称性证明
  • 思维层次:
    • (1)
      问基础导数应用
    • (2)
      问不等式恒成立与参数范围
    • (3)
      问函数零点分布与不等式证明,涉及高阶导数分析

题源与考点

  • 题源背景:源自高等数学中函数分析与零点理论
  • 核心考点:
    1. 导数与函数单调性
    2. 不等式恒成立与参数分离
    3. 高阶导数与函数凹凸性
    4. 函数零点分布与对称性
    5. 极值点与拐点分析

解题策略评析

(1)单调区间

  • f'(x)=e^x+cosx-2
  • x<0
    时,e^x<1cosx≤1f'(x)<0f(x)递减
  • x≥0
    时,令g(x)=e^x+cosx-2g'(x)=e^x-sinx>0g(x)≥g(0)=0
  • f(x)
    (-∞,0)递减,[0,+∞)递增
  • 体现分类讨论与导数符号分析

(2)参数范围

  • h(x)=f(x)-cosx=e^x+sinx-ax-cosx
  • h'(x)=e^x+cosx-a+sinx
    h''(x)=e^x-sinx+cosx>0
  • h'(x)
    单调递增,h'(0)=2-a
  • a≤2
    时,h'(x)≥0h(x)≥h(0)=0,满足条件
  • a>2
    时,存在x使h(x)<0,不满足
  • a∈(-∞,2]
  • 体现二阶导数与函数最值分析

(3)不等式证明

  • 分析f'''(x)=e^x+sinx,在[-2π,-π)f'''(x)>0
  • 通过四阶导数分析,确定f'(x)的单调区间
  • 确定x(-2π,-3π/2)x(-2π,-π)x(0,+)
  • 利用f(-2π)=e^(-2π)+2π>f(0)=1,得x+x>-2π>2x
  • 体现高阶导数与零点分布的深度分析

教育价值

此题体现高考命题"能力立意"导向,考查学生:

  • 深刻理解函数与导数的内在联系
  • 严谨证明不等式与存在性问题的能力
  • 灵活运用高阶导数分析复杂函数性质的能力
  • 为大学数学分析学习奠定坚实基础
  • 培养数学抽象、逻辑推理与数学运算的核心素养

四、值得关注的两道题目

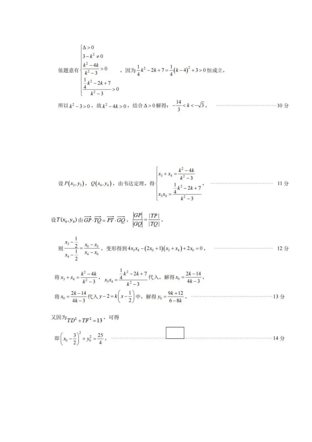
1. 18题:双曲线综合题

题目内容:已知双曲线Ex²/a²-y²/b²=1(a>0,b>0)的右焦点为F,离心率为2,过F且与x轴垂直的直线被该双曲线截得的弦长为6
(1)
求曲线E的方程;
(2)A
BC为曲线E上的三个点,且AB关于原点对称,直线BC过点F,若△ABC的面积为12,求直线BC的方程;
(3)
已知D(1,0),过点G(-1/4,2)的直线lEy轴右侧交于不同的两点PQ,则直线l上是否存在点T使得|GP|·|TQ|=|PT|·|GQ||TD|²+|TF|²=13?若存在,求出T的坐标,若不存在,说明理由。

推荐理由

  • 综合性高:融合双曲线定义、面积计算、存在性问题
  • 思维层次深:
    • (1)
      问基础双曲线方程求解
    • (2)
      问利用对称性简化面积计算,S△ABC=2|y-y|
    • (3)
      问条件|GP|·|TQ|=|PT|·|GQ|转化为比例关系,最终证明无解
  • 解法精妙:
    • (2)
      问设直线BCx=ty+2,联立得(3t²-1)y²+12ty+9=0
    • 面积公式S=2√[(y+y)²-4yy]=12(t²+1)/|3t²-1|=12
    • 解得t=±√7/3t=0,对应直线方程3x±√7y-6=0x=2
  • 区分度明显:(3)问对顶尖学生有极强区分度
  • 核心素养:直观想象、逻辑推理、数学运算综合体现
  • 高考导向:代表新高考解析几何命题趋势,具有示范意义

2. 16题:投篮比赛概率决策题

题目内容:某投篮比赛分为两个阶段,每个参赛队由两名队员组成。第一阶段由一名队员投篮3次,若3次都未投中则被淘汰(成绩0);若至少投中一次,则进入第二阶段,由另一名队员投篮3次,每次投中得5分。甲投中概率p,乙投中概率q
(1)
p=0.5,q=0.6,甲参加第一阶段,在成绩为0分情况下,求甲被淘汰的概率;
(2)
0<p<q,分析应由谁参加第一阶段比赛成绩更好。

推荐理由

  • 应用价值高:将概率知识与实际决策紧密结合
  • 思维层次深:
    • (1)
      问条件概率计算:P=P(AB)/P(A)=0.5³/(0.5³+0.5³×0.4³)=125/181
    • (2)
      问期望比较:E(X)=15(1-(1-p)³)qE(Y)=15(1-(1-q)³)p
    • E(X)-E(Y)=15(p-q)pq(p+q-3)>0
      ,故应由甲参加第一阶段
  • 决策智慧:揭示"让成功率较低者承担风险,成功率较高者负责得分"的策略
  • 育人价值:培养理性决策与风险评估能力
  • 核心素养:数据分析、数学建模、逻辑推理综合体现
  • 教学导向:引导教师重视概率在实际决策中的应用价值

五、总结与教学启示

本试卷精心设计,既保证基础考查,又体现能力选拔,对高三复习具有重要指导价值。试卷亮点在于:

  1. 创新与传统平衡:既有经典题型,又有新定义题型如"λ-Sn数列"
  2. 基础与能力融合:题型梯度合理,区分度明显,适合不同层次学生
  3. 知识与素养统一:既考查知识掌握,又注重核心素养培养
  4. 选拔与引导兼顾:具有良好的区分度,同时引导教学关注思维过程

特别值得关注的是第19题和第18题,它们代表了高考数学命题的发展方向。在备考中,应加强对综合性问题、证明类问题以及高阶导数应用的训练,注重培养学生的数学思维品质。

教师在教学中应:

  • 强化概念本质理解,避免机械训练
  • 培养多角度分析问题的能力
  • 重视函数与导数的内在联系
  • 加强几何直观与代数转化的训练

江苏苏北六校作为江苏省重点中学联盟,其命制的试卷体现了高水平的教学研究与命题能力。这份二模试卷不仅是一次学业水平评价,更是数学教育理念的生动体现,对高三复习具有重要的指导价值。在核心素养导向的新时代,数学教育不仅要传授知识,更要塑造思维方式、培养科学精神,为学生终身发展奠定坚实基础。这份试卷在融合数学本质、应用价值与核心素养方面做出了杰出示范,值得全国高三师生深入研究与借鉴。

最新文章

随机文章

基本 文件 流程 错误 SQL 调试
  1. 请求信息 : 2026-04-29 11:30:32 HTTP/2.0 GET : https://www.sjds.net/a/485100.html
  2. 运行时间 : 0.107709s [ 吞吐率:9.28req/s ] 内存消耗:4,353.70kb 文件加载:140
  3. 缓存信息 : 0 reads,0 writes
  4. 会话信息 : SESSION_ID=50aa252ffad25c6af8ab82095b1022f4
  1. /yingpanguazai/ssd/ssd1/www/www.sjds.net/public/index.php ( 0.79 KB )
  2. /yingpanguazai/ssd/ssd1/www/www.sjds.net/vendor/autoload.php ( 0.17 KB )
  3. /yingpanguazai/ssd/ssd1/www/www.sjds.net/vendor/composer/autoload_real.php ( 2.49 KB )
  4. /yingpanguazai/ssd/ssd1/www/www.sjds.net/vendor/composer/platform_check.php ( 0.90 KB )
  5. /yingpanguazai/ssd/ssd1/www/www.sjds.net/vendor/composer/ClassLoader.php ( 14.03 KB )
  6. /yingpanguazai/ssd/ssd1/www/www.sjds.net/vendor/composer/autoload_static.php ( 4.90 KB )
  7. /yingpanguazai/ssd/ssd1/www/www.sjds.net/vendor/topthink/think-helper/src/helper.php ( 8.34 KB )
  8. /yingpanguazai/ssd/ssd1/www/www.sjds.net/vendor/topthink/think-validate/src/helper.php ( 2.19 KB )
  9. /yingpanguazai/ssd/ssd1/www/www.sjds.net/vendor/topthink/think-orm/src/helper.php ( 1.47 KB )
  10. /yingpanguazai/ssd/ssd1/www/www.sjds.net/vendor/topthink/think-orm/stubs/load_stubs.php ( 0.16 KB )
  11. /yingpanguazai/ssd/ssd1/www/www.sjds.net/vendor/topthink/framework/src/think/Exception.php ( 1.69 KB )
  12. /yingpanguazai/ssd/ssd1/www/www.sjds.net/vendor/topthink/think-container/src/Facade.php ( 2.71 KB )
  13. /yingpanguazai/ssd/ssd1/www/www.sjds.net/vendor/symfony/deprecation-contracts/function.php ( 0.99 KB )
  14. /yingpanguazai/ssd/ssd1/www/www.sjds.net/vendor/symfony/polyfill-mbstring/bootstrap.php ( 8.26 KB )
  15. /yingpanguazai/ssd/ssd1/www/www.sjds.net/vendor/symfony/polyfill-mbstring/bootstrap80.php ( 9.78 KB )
  16. /yingpanguazai/ssd/ssd1/www/www.sjds.net/vendor/symfony/var-dumper/Resources/functions/dump.php ( 1.49 KB )
  17. /yingpanguazai/ssd/ssd1/www/www.sjds.net/vendor/topthink/think-dumper/src/helper.php ( 0.18 KB )
  18. /yingpanguazai/ssd/ssd1/www/www.sjds.net/vendor/symfony/var-dumper/VarDumper.php ( 4.30 KB )
  19. /yingpanguazai/ssd/ssd1/www/www.sjds.net/vendor/topthink/framework/src/think/App.php ( 15.30 KB )
  20. /yingpanguazai/ssd/ssd1/www/www.sjds.net/vendor/topthink/think-container/src/Container.php ( 15.76 KB )
  21. /yingpanguazai/ssd/ssd1/www/www.sjds.net/vendor/psr/container/src/ContainerInterface.php ( 1.02 KB )
  22. /yingpanguazai/ssd/ssd1/www/www.sjds.net/app/provider.php ( 0.19 KB )
  23. /yingpanguazai/ssd/ssd1/www/www.sjds.net/vendor/topthink/framework/src/think/Http.php ( 6.04 KB )
  24. /yingpanguazai/ssd/ssd1/www/www.sjds.net/vendor/topthink/think-helper/src/helper/Str.php ( 7.29 KB )
  25. /yingpanguazai/ssd/ssd1/www/www.sjds.net/vendor/topthink/framework/src/think/Env.php ( 4.68 KB )
  26. /yingpanguazai/ssd/ssd1/www/www.sjds.net/app/common.php ( 0.03 KB )
  27. /yingpanguazai/ssd/ssd1/www/www.sjds.net/vendor/topthink/framework/src/helper.php ( 18.78 KB )
  28. /yingpanguazai/ssd/ssd1/www/www.sjds.net/vendor/topthink/framework/src/think/Config.php ( 5.54 KB )
  29. /yingpanguazai/ssd/ssd1/www/www.sjds.net/config/app.php ( 0.95 KB )
  30. /yingpanguazai/ssd/ssd1/www/www.sjds.net/config/cache.php ( 0.78 KB )
  31. /yingpanguazai/ssd/ssd1/www/www.sjds.net/config/console.php ( 0.23 KB )
  32. /yingpanguazai/ssd/ssd1/www/www.sjds.net/config/cookie.php ( 0.56 KB )
  33. /yingpanguazai/ssd/ssd1/www/www.sjds.net/config/database.php ( 2.48 KB )
  34. /yingpanguazai/ssd/ssd1/www/www.sjds.net/vendor/topthink/framework/src/think/facade/Env.php ( 1.67 KB )
  35. /yingpanguazai/ssd/ssd1/www/www.sjds.net/config/filesystem.php ( 0.61 KB )
  36. /yingpanguazai/ssd/ssd1/www/www.sjds.net/config/lang.php ( 0.91 KB )
  37. /yingpanguazai/ssd/ssd1/www/www.sjds.net/config/log.php ( 1.35 KB )
  38. /yingpanguazai/ssd/ssd1/www/www.sjds.net/config/middleware.php ( 0.19 KB )
  39. /yingpanguazai/ssd/ssd1/www/www.sjds.net/config/route.php ( 1.89 KB )
  40. /yingpanguazai/ssd/ssd1/www/www.sjds.net/config/session.php ( 0.57 KB )
  41. /yingpanguazai/ssd/ssd1/www/www.sjds.net/config/trace.php ( 0.34 KB )
  42. /yingpanguazai/ssd/ssd1/www/www.sjds.net/config/view.php ( 0.82 KB )
  43. /yingpanguazai/ssd/ssd1/www/www.sjds.net/app/event.php ( 0.25 KB )
  44. /yingpanguazai/ssd/ssd1/www/www.sjds.net/vendor/topthink/framework/src/think/Event.php ( 7.67 KB )
  45. /yingpanguazai/ssd/ssd1/www/www.sjds.net/app/service.php ( 0.13 KB )
  46. /yingpanguazai/ssd/ssd1/www/www.sjds.net/app/AppService.php ( 0.26 KB )
  47. /yingpanguazai/ssd/ssd1/www/www.sjds.net/vendor/topthink/framework/src/think/Service.php ( 1.64 KB )
  48. /yingpanguazai/ssd/ssd1/www/www.sjds.net/vendor/topthink/framework/src/think/Lang.php ( 7.35 KB )
  49. /yingpanguazai/ssd/ssd1/www/www.sjds.net/vendor/topthink/framework/src/lang/zh-cn.php ( 13.70 KB )
  50. /yingpanguazai/ssd/ssd1/www/www.sjds.net/vendor/topthink/framework/src/think/initializer/Error.php ( 3.31 KB )
  51. /yingpanguazai/ssd/ssd1/www/www.sjds.net/vendor/topthink/framework/src/think/initializer/RegisterService.php ( 1.33 KB )
  52. /yingpanguazai/ssd/ssd1/www/www.sjds.net/vendor/services.php ( 0.14 KB )
  53. /yingpanguazai/ssd/ssd1/www/www.sjds.net/vendor/topthink/framework/src/think/service/PaginatorService.php ( 1.52 KB )
  54. /yingpanguazai/ssd/ssd1/www/www.sjds.net/vendor/topthink/framework/src/think/service/ValidateService.php ( 0.99 KB )
  55. /yingpanguazai/ssd/ssd1/www/www.sjds.net/vendor/topthink/framework/src/think/service/ModelService.php ( 2.04 KB )
  56. /yingpanguazai/ssd/ssd1/www/www.sjds.net/vendor/topthink/think-trace/src/Service.php ( 0.77 KB )
  57. /yingpanguazai/ssd/ssd1/www/www.sjds.net/vendor/topthink/framework/src/think/Middleware.php ( 6.72 KB )
  58. /yingpanguazai/ssd/ssd1/www/www.sjds.net/vendor/topthink/framework/src/think/initializer/BootService.php ( 0.77 KB )
  59. /yingpanguazai/ssd/ssd1/www/www.sjds.net/vendor/topthink/think-orm/src/Paginator.php ( 11.86 KB )
  60. /yingpanguazai/ssd/ssd1/www/www.sjds.net/vendor/topthink/think-validate/src/Validate.php ( 63.20 KB )
  61. /yingpanguazai/ssd/ssd1/www/www.sjds.net/vendor/topthink/think-orm/src/Model.php ( 23.55 KB )
  62. /yingpanguazai/ssd/ssd1/www/www.sjds.net/vendor/topthink/think-orm/src/model/concern/Attribute.php ( 21.05 KB )
  63. /yingpanguazai/ssd/ssd1/www/www.sjds.net/vendor/topthink/think-orm/src/model/concern/AutoWriteData.php ( 4.21 KB )
  64. /yingpanguazai/ssd/ssd1/www/www.sjds.net/vendor/topthink/think-orm/src/model/concern/Conversion.php ( 6.44 KB )
  65. /yingpanguazai/ssd/ssd1/www/www.sjds.net/vendor/topthink/think-orm/src/model/concern/DbConnect.php ( 5.16 KB )
  66. /yingpanguazai/ssd/ssd1/www/www.sjds.net/vendor/topthink/think-orm/src/model/concern/ModelEvent.php ( 2.33 KB )
  67. /yingpanguazai/ssd/ssd1/www/www.sjds.net/vendor/topthink/think-orm/src/model/concern/RelationShip.php ( 28.29 KB )
  68. /yingpanguazai/ssd/ssd1/www/www.sjds.net/vendor/topthink/think-helper/src/contract/Arrayable.php ( 0.09 KB )
  69. /yingpanguazai/ssd/ssd1/www/www.sjds.net/vendor/topthink/think-helper/src/contract/Jsonable.php ( 0.13 KB )
  70. /yingpanguazai/ssd/ssd1/www/www.sjds.net/vendor/topthink/think-orm/src/model/contract/Modelable.php ( 0.09 KB )
  71. /yingpanguazai/ssd/ssd1/www/www.sjds.net/vendor/topthink/framework/src/think/Db.php ( 2.88 KB )
  72. /yingpanguazai/ssd/ssd1/www/www.sjds.net/vendor/topthink/think-orm/src/DbManager.php ( 8.52 KB )
  73. /yingpanguazai/ssd/ssd1/www/www.sjds.net/vendor/topthink/framework/src/think/Log.php ( 6.28 KB )
  74. /yingpanguazai/ssd/ssd1/www/www.sjds.net/vendor/topthink/framework/src/think/Manager.php ( 3.92 KB )
  75. /yingpanguazai/ssd/ssd1/www/www.sjds.net/vendor/psr/log/src/LoggerTrait.php ( 2.69 KB )
  76. /yingpanguazai/ssd/ssd1/www/www.sjds.net/vendor/psr/log/src/LoggerInterface.php ( 2.71 KB )
  77. /yingpanguazai/ssd/ssd1/www/www.sjds.net/vendor/topthink/framework/src/think/Cache.php ( 4.92 KB )
  78. /yingpanguazai/ssd/ssd1/www/www.sjds.net/vendor/psr/simple-cache/src/CacheInterface.php ( 4.71 KB )
  79. /yingpanguazai/ssd/ssd1/www/www.sjds.net/vendor/topthink/think-helper/src/helper/Arr.php ( 16.63 KB )
  80. /yingpanguazai/ssd/ssd1/www/www.sjds.net/vendor/topthink/framework/src/think/cache/driver/File.php ( 7.84 KB )
  81. /yingpanguazai/ssd/ssd1/www/www.sjds.net/vendor/topthink/framework/src/think/cache/Driver.php ( 9.03 KB )
  82. /yingpanguazai/ssd/ssd1/www/www.sjds.net/vendor/topthink/framework/src/think/contract/CacheHandlerInterface.php ( 1.99 KB )
  83. /yingpanguazai/ssd/ssd1/www/www.sjds.net/app/Request.php ( 0.09 KB )
  84. /yingpanguazai/ssd/ssd1/www/www.sjds.net/vendor/topthink/framework/src/think/Request.php ( 55.78 KB )
  85. /yingpanguazai/ssd/ssd1/www/www.sjds.net/app/middleware.php ( 0.25 KB )
  86. /yingpanguazai/ssd/ssd1/www/www.sjds.net/vendor/topthink/framework/src/think/Pipeline.php ( 2.61 KB )
  87. /yingpanguazai/ssd/ssd1/www/www.sjds.net/vendor/topthink/think-trace/src/TraceDebug.php ( 3.40 KB )
  88. /yingpanguazai/ssd/ssd1/www/www.sjds.net/vendor/topthink/framework/src/think/middleware/SessionInit.php ( 1.94 KB )
  89. /yingpanguazai/ssd/ssd1/www/www.sjds.net/vendor/topthink/framework/src/think/Session.php ( 1.80 KB )
  90. /yingpanguazai/ssd/ssd1/www/www.sjds.net/vendor/topthink/framework/src/think/session/driver/File.php ( 6.27 KB )
  91. /yingpanguazai/ssd/ssd1/www/www.sjds.net/vendor/topthink/framework/src/think/contract/SessionHandlerInterface.php ( 0.87 KB )
  92. /yingpanguazai/ssd/ssd1/www/www.sjds.net/vendor/topthink/framework/src/think/session/Store.php ( 7.12 KB )
  93. /yingpanguazai/ssd/ssd1/www/www.sjds.net/vendor/topthink/framework/src/think/Route.php ( 23.73 KB )
  94. /yingpanguazai/ssd/ssd1/www/www.sjds.net/vendor/topthink/framework/src/think/route/RuleName.php ( 5.75 KB )
  95. /yingpanguazai/ssd/ssd1/www/www.sjds.net/vendor/topthink/framework/src/think/route/Domain.php ( 2.53 KB )
  96. /yingpanguazai/ssd/ssd1/www/www.sjds.net/vendor/topthink/framework/src/think/route/RuleGroup.php ( 22.43 KB )
  97. /yingpanguazai/ssd/ssd1/www/www.sjds.net/vendor/topthink/framework/src/think/route/Rule.php ( 26.95 KB )
  98. /yingpanguazai/ssd/ssd1/www/www.sjds.net/vendor/topthink/framework/src/think/route/RuleItem.php ( 9.78 KB )
  99. /yingpanguazai/ssd/ssd1/www/www.sjds.net/route/app.php ( 1.72 KB )
  100. /yingpanguazai/ssd/ssd1/www/www.sjds.net/vendor/topthink/framework/src/think/facade/Route.php ( 4.70 KB )
  101. /yingpanguazai/ssd/ssd1/www/www.sjds.net/vendor/topthink/framework/src/think/route/dispatch/Controller.php ( 4.74 KB )
  102. /yingpanguazai/ssd/ssd1/www/www.sjds.net/vendor/topthink/framework/src/think/route/Dispatch.php ( 10.44 KB )
  103. /yingpanguazai/ssd/ssd1/www/www.sjds.net/app/controller/Index.php ( 4.81 KB )
  104. /yingpanguazai/ssd/ssd1/www/www.sjds.net/app/BaseController.php ( 2.05 KB )
  105. /yingpanguazai/ssd/ssd1/www/www.sjds.net/vendor/topthink/think-orm/src/facade/Db.php ( 0.93 KB )
  106. /yingpanguazai/ssd/ssd1/www/www.sjds.net/vendor/topthink/think-orm/src/db/connector/Mysql.php ( 5.44 KB )
  107. /yingpanguazai/ssd/ssd1/www/www.sjds.net/vendor/topthink/think-orm/src/db/PDOConnection.php ( 52.47 KB )
  108. /yingpanguazai/ssd/ssd1/www/www.sjds.net/vendor/topthink/think-orm/src/db/Connection.php ( 8.39 KB )
  109. /yingpanguazai/ssd/ssd1/www/www.sjds.net/vendor/topthink/think-orm/src/db/ConnectionInterface.php ( 4.57 KB )
  110. /yingpanguazai/ssd/ssd1/www/www.sjds.net/vendor/topthink/think-orm/src/db/builder/Mysql.php ( 16.58 KB )
  111. /yingpanguazai/ssd/ssd1/www/www.sjds.net/vendor/topthink/think-orm/src/db/Builder.php ( 24.06 KB )
  112. /yingpanguazai/ssd/ssd1/www/www.sjds.net/vendor/topthink/think-orm/src/db/BaseBuilder.php ( 27.50 KB )
  113. /yingpanguazai/ssd/ssd1/www/www.sjds.net/vendor/topthink/think-orm/src/db/Query.php ( 15.71 KB )
  114. /yingpanguazai/ssd/ssd1/www/www.sjds.net/vendor/topthink/think-orm/src/db/BaseQuery.php ( 45.13 KB )
  115. /yingpanguazai/ssd/ssd1/www/www.sjds.net/vendor/topthink/think-orm/src/db/concern/TimeFieldQuery.php ( 7.43 KB )
  116. /yingpanguazai/ssd/ssd1/www/www.sjds.net/vendor/topthink/think-orm/src/db/concern/AggregateQuery.php ( 3.26 KB )
  117. /yingpanguazai/ssd/ssd1/www/www.sjds.net/vendor/topthink/think-orm/src/db/concern/ModelRelationQuery.php ( 20.07 KB )
  118. /yingpanguazai/ssd/ssd1/www/www.sjds.net/vendor/topthink/think-orm/src/db/concern/ParamsBind.php ( 3.66 KB )
  119. /yingpanguazai/ssd/ssd1/www/www.sjds.net/vendor/topthink/think-orm/src/db/concern/ResultOperation.php ( 7.01 KB )
  120. /yingpanguazai/ssd/ssd1/www/www.sjds.net/vendor/topthink/think-orm/src/db/concern/WhereQuery.php ( 19.37 KB )
  121. /yingpanguazai/ssd/ssd1/www/www.sjds.net/vendor/topthink/think-orm/src/db/concern/JoinAndViewQuery.php ( 7.11 KB )
  122. /yingpanguazai/ssd/ssd1/www/www.sjds.net/vendor/topthink/think-orm/src/db/concern/TableFieldInfo.php ( 2.63 KB )
  123. /yingpanguazai/ssd/ssd1/www/www.sjds.net/vendor/topthink/think-orm/src/db/concern/Transaction.php ( 2.77 KB )
  124. /yingpanguazai/ssd/ssd1/www/www.sjds.net/vendor/topthink/framework/src/think/log/driver/File.php ( 5.96 KB )
  125. /yingpanguazai/ssd/ssd1/www/www.sjds.net/vendor/topthink/framework/src/think/contract/LogHandlerInterface.php ( 0.86 KB )
  126. /yingpanguazai/ssd/ssd1/www/www.sjds.net/vendor/topthink/framework/src/think/log/Channel.php ( 3.89 KB )
  127. /yingpanguazai/ssd/ssd1/www/www.sjds.net/vendor/topthink/framework/src/think/event/LogRecord.php ( 1.02 KB )
  128. /yingpanguazai/ssd/ssd1/www/www.sjds.net/vendor/topthink/think-helper/src/Collection.php ( 16.47 KB )
  129. /yingpanguazai/ssd/ssd1/www/www.sjds.net/vendor/topthink/framework/src/think/facade/View.php ( 1.70 KB )
  130. /yingpanguazai/ssd/ssd1/www/www.sjds.net/vendor/topthink/framework/src/think/View.php ( 4.39 KB )
  131. /yingpanguazai/ssd/ssd1/www/www.sjds.net/vendor/topthink/framework/src/think/Response.php ( 8.81 KB )
  132. /yingpanguazai/ssd/ssd1/www/www.sjds.net/vendor/topthink/framework/src/think/response/View.php ( 3.29 KB )
  133. /yingpanguazai/ssd/ssd1/www/www.sjds.net/vendor/topthink/framework/src/think/Cookie.php ( 6.06 KB )
  134. /yingpanguazai/ssd/ssd1/www/www.sjds.net/vendor/topthink/think-view/src/Think.php ( 8.38 KB )
  135. /yingpanguazai/ssd/ssd1/www/www.sjds.net/vendor/topthink/framework/src/think/contract/TemplateHandlerInterface.php ( 1.60 KB )
  136. /yingpanguazai/ssd/ssd1/www/www.sjds.net/vendor/topthink/think-template/src/Template.php ( 46.61 KB )
  137. /yingpanguazai/ssd/ssd1/www/www.sjds.net/vendor/topthink/think-template/src/template/driver/File.php ( 2.41 KB )
  138. /yingpanguazai/ssd/ssd1/www/www.sjds.net/vendor/topthink/think-template/src/template/contract/DriverInterface.php ( 0.86 KB )
  139. /yingpanguazai/ssd/ssd1/www/www.sjds.net/runtime/temp/5febe16c9207553ef9b4c4406f7af920.php ( 12.06 KB )
  140. /yingpanguazai/ssd/ssd1/www/www.sjds.net/vendor/topthink/think-trace/src/Html.php ( 4.42 KB )
  1. CONNECT:[ UseTime:0.000677s ] mysql:host=127.0.0.1;port=3306;dbname=www_sjds;charset=utf8mb4
  2. SHOW FULL COLUMNS FROM `fenlei` [ RunTime:0.000810s ]
  3. SELECT * FROM `fenlei` WHERE `fid` = 0 [ RunTime:0.000357s ]
  4. SELECT * FROM `fenlei` WHERE `fid` = 63 [ RunTime:0.000352s ]
  5. SHOW FULL COLUMNS FROM `set` [ RunTime:0.000555s ]
  6. SELECT * FROM `set` [ RunTime:0.000222s ]
  7. SHOW FULL COLUMNS FROM `article` [ RunTime:0.000632s ]
  8. SELECT * FROM `article` WHERE `id` = 485100 LIMIT 1 [ RunTime:0.000508s ]
  9. UPDATE `article` SET `lasttime` = 1777433432 WHERE `id` = 485100 [ RunTime:0.012710s ]
  10. SELECT * FROM `fenlei` WHERE `id` = 65 LIMIT 1 [ RunTime:0.003285s ]
  11. SELECT * FROM `article` WHERE `id` < 485100 ORDER BY `id` DESC LIMIT 1 [ RunTime:0.000772s ]
  12. SELECT * FROM `article` WHERE `id` > 485100 ORDER BY `id` ASC LIMIT 1 [ RunTime:0.000466s ]
  13. SELECT * FROM `article` WHERE `id` < 485100 ORDER BY `id` DESC LIMIT 10 [ RunTime:0.003582s ]
  14. SELECT * FROM `article` WHERE `id` < 485100 ORDER BY `id` DESC LIMIT 10,10 [ RunTime:0.000911s ]
  15. SELECT * FROM `article` WHERE `id` < 485100 ORDER BY `id` DESC LIMIT 20,10 [ RunTime:0.005822s ]
0.109406s