当前位置:首页>考研真题>【试卷解析】难爆了?2026天津一中高一、高二下期中试卷&2026河西区高三二模简解 | 陈奕迅《心的距离》

【试卷解析】难爆了?2026天津一中高一、高二下期中试卷&2026河西区高三二模简解 | 陈奕迅《心的距离》

  • 2026-04-29 01:04:13
【试卷解析】难爆了?2026天津一中高一、高二下期中试卷&2026河西区高三二模简解 | 陈奕迅《心的距离》
近几天试卷井喷,因公众号每日只得群发一次,只好把几张试卷放在一篇文章里解析.同时笔者时间精力实属有限,南开中学高三五月考、高三十二校联考的试卷还未来及做,我们留到以后的推送中再做解析.推荐读者们将本期分享的三张试卷中的题目都看一看,对自己年级的学习(或教学)都有益处.

【天津一中高一下期中】
试卷整体非常基础.可以推断出,本张试卷将解三角形和立体几何两大模块更多地定位于工具功能,而没有在模块内部考察太深太难的内容.挑两道小题说一下:
第10题选择压轴,嵌合了三个模块.先根据一上来的三个条件解三角形ABC,再根据等和线的结论确定x,y的关系,最后使用不等式的工具求最值.
16题是老朋友了,经常能在高三模拟卷中见到它.先根据题意画出准确的图形,∠B=60°,BC中点与ABD构成菱形.第2空中,设出E和F的位置进行基底表达即可,建系也不难.上图中验证取等条件的步骤就略去了.
大题都很简单.

【天津一中高二下期中】
高一的试卷眉清目秀,高二这里画风突变,难度比较大
第2题是常见题型,见过就会,不过放在第2题还是有点难.
第6题是对三次函数的函数性质分析题,因为函数先减再增再减,所以导函数开口向下,a<0;又因为|x1|<|x2|,所以导函数对称轴在0的右侧,“左同右异”,b>0;c=f'(0)>f'(x1)=0;d=f(0)<0,选C.
第7题开始难度陡然上升,客观说已经不属于一道小题的计算量和思维量了.先通过联立和韦达定理把x1,x2,x3找到,然后用a表达k1和k2,进而把a解出.要保证x2=2,在这个限定条件下a=8要舍去,选A.
第8题也比较困难,尤其是紧跟着第7题的情况下.
一上来需要一点注意力作为突破点,题目条件很像零点存在性定理,事实上也确实如此,f(0.218)f(1.218)<0,诸如此类的不等式意味着f(x)在(0,2)内必有零点;而(0,1)和(1,2)内又不可能有零点,否则f(x)f(x+1)就可能为0了,所以只能让f(1)=0,得到a=b.
然后又是让考生不耐烦函数性质讨论分析,f(x)在(0,√a)↑,(√a,+∞)↓.首先√a>1,否则f(x)≤0恒成立了;如果√a在2之后,那f(x)在(0,2)递增,的确符合(0,1)的函数值与(1,2)的函数值异号;如果√a在2之前,那f(2)就必须大于等于0,得到a的整数部分最小为2.选B.
所幸填空难度不太大,压轴题值得说一说:
首先本题与b无关,并且λ的提示非常明显,本题需要比值换元.表达出g(λ)≥5ln2/2后,在考场上先注意g(2)=5ln2/2,再直接猜λ≥2就走,不要花时间求导验证了,错了认倒霉
前几道大题都是简单题和中档题,最后一道题稍显困难.
事先声明,截止推送发表时间,笔者未在网络上查找到本题解析,以下解题思路均为笔者仓促所想,大概率有待优化,如有错误敬请指正.
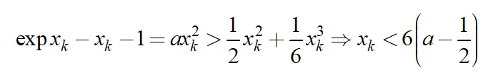
先注意到本题中e^x比x出现得多,所以直接进行指数换元,本题等价于下面的题目(这里exp(x)指e^x)
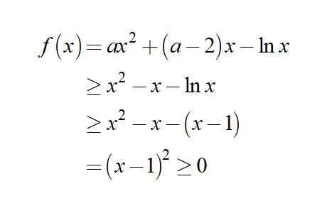
第1问,先以a为主元会更简单:
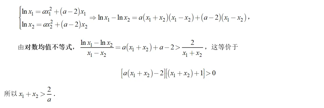
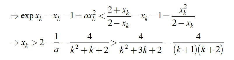
第2问,还是需要先对f(x)求导,得到f(x)在(0, 1/a)↓,(1/a, +∞)↑,所以f(1/a)<0,得到0<a<1.
(i)可以尝试加强为证明x2<2/a,但并不是对所有(0,1)内的a恒成立,笔者索性直接暴力证明了:
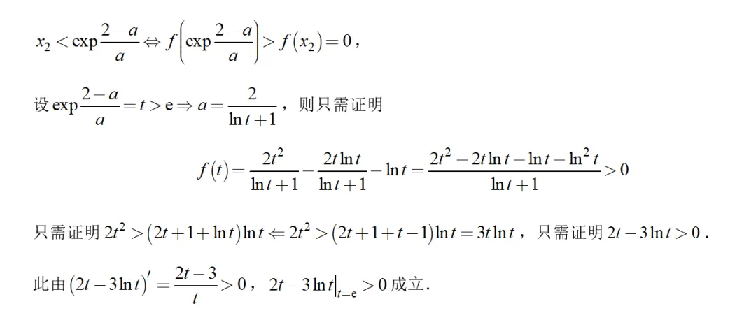
第(ii)问,相信很多同学看到等价后的题目版本应该反应过来了,这就是一道非常经典的双变量例题
对数均值不等式,可以很快解决本题,简要过程如下:
这张试卷题目质量很高,希望高二的同学们可以调整好心情,在学校讲评试卷前,依凭本篇推送稍作复盘,把不会的题目尽量弄懂.

【河西二模】
终于来到重头戏……本张试卷难度不低,难题位置没有放水,命制的大多比较漂亮.下面来看一下几道值得一提的题目:
第2题是老生常谈的问题了,注意a=0,b=0
第5题,耐心找规律即可,从第3项起为周期数列
第7题,又是求不规则几何体的体积,幸好出题人给了提示.根据提示,长方体的体积为10×6×4,每个三棱锥底面均为边长为3的等腰直角三角形,高为4,相减即可.
应@y=½x²要求,展示ta的Simpson公式做法:下底面面积为10×6,上顶面如图所示:
面积为42.中截面如下图所示:
面积为55.5.高为4,代入公式计算即可.至于Simpson公式,在和平二模推送中有提到.读者可以先订阅本公众号,再点击链接查看上篇推文.
第8题比较常规.
第9题反而不是“主流”的圆锥曲线小题风格,更像初三的“铅垂高”类型题,把|OM|²-|OA|²表示为关于t的二次函数即可,难度不高.
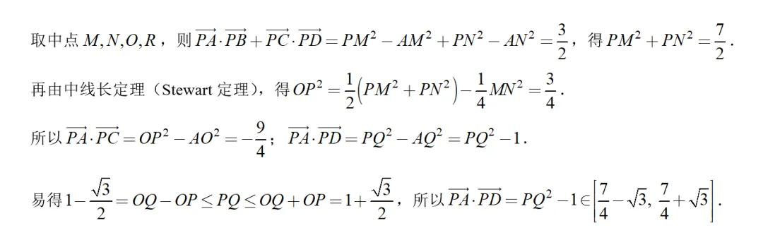
14题可以建系,找到P点横纵坐标的关系后直接计算即可.不过笔者发现了一个比较漂亮的几何做法,基本全程应用的都是极化恒等式
这里的中线长定理、Stewart定理也不是公众号中首次提到了,比较经典的应用详见今年的十二校一模
15题明显在模仿2025天津高考15题,我们也仿照高考题的解析,写一个防御性证明,读者可以思考一下下面过程中的数都是如何“注意到”的.
解析几何终于不是19题了,不过本题难度也不算很低.比较简单的方法是从齐次化(对合变换)的视角看,立得AP和AQ斜率之积为定值,于是PQ过定点.后面用基本的韦达定理即可解决.
凑巧的是,这个定点刚好是椭圆的左焦点,于是像笔者一样不喜欢联立的选手,也可以使用第二定义进行后续处理.
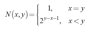
河西区的数列从来不负所望,这道题或许可以入选最难数列解答题第1问排行榜
第2问和十二校一模的数列有点相像,也是不少老师讲过的题型了.
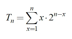
以x为最小元素的集合,就不能再在1~x-1里选数了,但x+1~n可以随便选,于是这样的集合有2^(n-x)个.所以
求和即可;
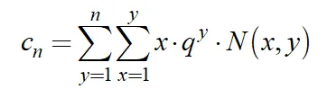
第(ii)问,以x的视角看,如果让y作为一个集合的最大元素,1~x-1和y+1~n不能选,x+1~y-1可以随便选,于是这样的集合有2^(y-x-1)个.但是注意,如果x=y,这样的集合只有1个,不符合刚才给出的式子,所以干脆给一个集合个数的记号
这样就有
也可以站在y的视角看,更换求和的上下标,改为
后续就是错位相减了.
依笔者看来,本题完全没必要把公比设计成q,换成一个具体的数,如2,4观感或许会更好.
20题应该是今年各区模拟中新颖度和难度都在上乘的导数题了.
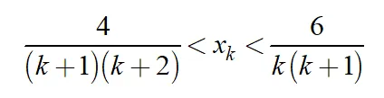
第3问看起来非常唬人,其实出题人也比较仁慈了,给我们留下来不少线索和“喘息之机”.直接尝试归纳,只需证明(此处省去归纳奠基)
先看右侧,分母和a产生了强烈的联系,直接用a换掉k,只需证明
这个式子看上去比较简洁,可以直接代入验证,但依笔者的习惯还是先尝试一些熟知放缩.考虑到本题函数中多项式部分是二次的,我们尝试将Taylor公式保留到三次方:
右侧证明完毕.这也为左侧的证明提供了一些提示.
有没有什么放缩可以得到e^x的上界呢?常见的放缩有e^x≥x+1的推论——e^x≤1/(1-x);还有(1,1)阶Pade逼近——e^x≤(2+x)/(2-x).此处我们使用后者:
左侧也证明完毕.不难看出,出题人大概率就是基于这两个放缩命制的本题.当然,左侧也有老师分享了其它的证明方法,本文中不便展示,读者可以自行搜索浏览.
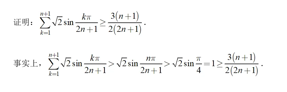
类似的题目,还可以出得更玄、更难,笔者再分享一道个人讲义中的选题:
最后再提一句,和平二模的导数第3问有一个幽默的一行证明

对天津中高考数学感兴趣的读者可以点击下方链接关注公众号:火箭缺钱了吗.

最新文章

随机文章

基本 文件 流程 错误 SQL 调试
  1. 请求信息 : 2026-04-30 12:28:49 HTTP/2.0 GET : https://www.sjds.net/a/485595.html
  2. 运行时间 : 0.224182s [ 吞吐率:4.46req/s ] 内存消耗:4,268.33kb 文件加载:140
  3. 缓存信息 : 0 reads,0 writes
  4. 会话信息 : SESSION_ID=421d2513ebc18e43aa37f93b69fd07ce
  1. /yingpanguazai/ssd/ssd1/www/www.sjds.net/public/index.php ( 0.79 KB )
  2. /yingpanguazai/ssd/ssd1/www/www.sjds.net/vendor/autoload.php ( 0.17 KB )
  3. /yingpanguazai/ssd/ssd1/www/www.sjds.net/vendor/composer/autoload_real.php ( 2.49 KB )
  4. /yingpanguazai/ssd/ssd1/www/www.sjds.net/vendor/composer/platform_check.php ( 0.90 KB )
  5. /yingpanguazai/ssd/ssd1/www/www.sjds.net/vendor/composer/ClassLoader.php ( 14.03 KB )
  6. /yingpanguazai/ssd/ssd1/www/www.sjds.net/vendor/composer/autoload_static.php ( 4.90 KB )
  7. /yingpanguazai/ssd/ssd1/www/www.sjds.net/vendor/topthink/think-helper/src/helper.php ( 8.34 KB )
  8. /yingpanguazai/ssd/ssd1/www/www.sjds.net/vendor/topthink/think-validate/src/helper.php ( 2.19 KB )
  9. /yingpanguazai/ssd/ssd1/www/www.sjds.net/vendor/topthink/think-orm/src/helper.php ( 1.47 KB )
  10. /yingpanguazai/ssd/ssd1/www/www.sjds.net/vendor/topthink/think-orm/stubs/load_stubs.php ( 0.16 KB )
  11. /yingpanguazai/ssd/ssd1/www/www.sjds.net/vendor/topthink/framework/src/think/Exception.php ( 1.69 KB )
  12. /yingpanguazai/ssd/ssd1/www/www.sjds.net/vendor/topthink/think-container/src/Facade.php ( 2.71 KB )
  13. /yingpanguazai/ssd/ssd1/www/www.sjds.net/vendor/symfony/deprecation-contracts/function.php ( 0.99 KB )
  14. /yingpanguazai/ssd/ssd1/www/www.sjds.net/vendor/symfony/polyfill-mbstring/bootstrap.php ( 8.26 KB )
  15. /yingpanguazai/ssd/ssd1/www/www.sjds.net/vendor/symfony/polyfill-mbstring/bootstrap80.php ( 9.78 KB )
  16. /yingpanguazai/ssd/ssd1/www/www.sjds.net/vendor/symfony/var-dumper/Resources/functions/dump.php ( 1.49 KB )
  17. /yingpanguazai/ssd/ssd1/www/www.sjds.net/vendor/topthink/think-dumper/src/helper.php ( 0.18 KB )
  18. /yingpanguazai/ssd/ssd1/www/www.sjds.net/vendor/symfony/var-dumper/VarDumper.php ( 4.30 KB )
  19. /yingpanguazai/ssd/ssd1/www/www.sjds.net/vendor/topthink/framework/src/think/App.php ( 15.30 KB )
  20. /yingpanguazai/ssd/ssd1/www/www.sjds.net/vendor/topthink/think-container/src/Container.php ( 15.76 KB )
  21. /yingpanguazai/ssd/ssd1/www/www.sjds.net/vendor/psr/container/src/ContainerInterface.php ( 1.02 KB )
  22. /yingpanguazai/ssd/ssd1/www/www.sjds.net/app/provider.php ( 0.19 KB )
  23. /yingpanguazai/ssd/ssd1/www/www.sjds.net/vendor/topthink/framework/src/think/Http.php ( 6.04 KB )
  24. /yingpanguazai/ssd/ssd1/www/www.sjds.net/vendor/topthink/think-helper/src/helper/Str.php ( 7.29 KB )
  25. /yingpanguazai/ssd/ssd1/www/www.sjds.net/vendor/topthink/framework/src/think/Env.php ( 4.68 KB )
  26. /yingpanguazai/ssd/ssd1/www/www.sjds.net/app/common.php ( 0.03 KB )
  27. /yingpanguazai/ssd/ssd1/www/www.sjds.net/vendor/topthink/framework/src/helper.php ( 18.78 KB )
  28. /yingpanguazai/ssd/ssd1/www/www.sjds.net/vendor/topthink/framework/src/think/Config.php ( 5.54 KB )
  29. /yingpanguazai/ssd/ssd1/www/www.sjds.net/config/app.php ( 0.95 KB )
  30. /yingpanguazai/ssd/ssd1/www/www.sjds.net/config/cache.php ( 0.78 KB )
  31. /yingpanguazai/ssd/ssd1/www/www.sjds.net/config/console.php ( 0.23 KB )
  32. /yingpanguazai/ssd/ssd1/www/www.sjds.net/config/cookie.php ( 0.56 KB )
  33. /yingpanguazai/ssd/ssd1/www/www.sjds.net/config/database.php ( 2.48 KB )
  34. /yingpanguazai/ssd/ssd1/www/www.sjds.net/vendor/topthink/framework/src/think/facade/Env.php ( 1.67 KB )
  35. /yingpanguazai/ssd/ssd1/www/www.sjds.net/config/filesystem.php ( 0.61 KB )
  36. /yingpanguazai/ssd/ssd1/www/www.sjds.net/config/lang.php ( 0.91 KB )
  37. /yingpanguazai/ssd/ssd1/www/www.sjds.net/config/log.php ( 1.35 KB )
  38. /yingpanguazai/ssd/ssd1/www/www.sjds.net/config/middleware.php ( 0.19 KB )
  39. /yingpanguazai/ssd/ssd1/www/www.sjds.net/config/route.php ( 1.89 KB )
  40. /yingpanguazai/ssd/ssd1/www/www.sjds.net/config/session.php ( 0.57 KB )
  41. /yingpanguazai/ssd/ssd1/www/www.sjds.net/config/trace.php ( 0.34 KB )
  42. /yingpanguazai/ssd/ssd1/www/www.sjds.net/config/view.php ( 0.82 KB )
  43. /yingpanguazai/ssd/ssd1/www/www.sjds.net/app/event.php ( 0.25 KB )
  44. /yingpanguazai/ssd/ssd1/www/www.sjds.net/vendor/topthink/framework/src/think/Event.php ( 7.67 KB )
  45. /yingpanguazai/ssd/ssd1/www/www.sjds.net/app/service.php ( 0.13 KB )
  46. /yingpanguazai/ssd/ssd1/www/www.sjds.net/app/AppService.php ( 0.26 KB )
  47. /yingpanguazai/ssd/ssd1/www/www.sjds.net/vendor/topthink/framework/src/think/Service.php ( 1.64 KB )
  48. /yingpanguazai/ssd/ssd1/www/www.sjds.net/vendor/topthink/framework/src/think/Lang.php ( 7.35 KB )
  49. /yingpanguazai/ssd/ssd1/www/www.sjds.net/vendor/topthink/framework/src/lang/zh-cn.php ( 13.70 KB )
  50. /yingpanguazai/ssd/ssd1/www/www.sjds.net/vendor/topthink/framework/src/think/initializer/Error.php ( 3.31 KB )
  51. /yingpanguazai/ssd/ssd1/www/www.sjds.net/vendor/topthink/framework/src/think/initializer/RegisterService.php ( 1.33 KB )
  52. /yingpanguazai/ssd/ssd1/www/www.sjds.net/vendor/services.php ( 0.14 KB )
  53. /yingpanguazai/ssd/ssd1/www/www.sjds.net/vendor/topthink/framework/src/think/service/PaginatorService.php ( 1.52 KB )
  54. /yingpanguazai/ssd/ssd1/www/www.sjds.net/vendor/topthink/framework/src/think/service/ValidateService.php ( 0.99 KB )
  55. /yingpanguazai/ssd/ssd1/www/www.sjds.net/vendor/topthink/framework/src/think/service/ModelService.php ( 2.04 KB )
  56. /yingpanguazai/ssd/ssd1/www/www.sjds.net/vendor/topthink/think-trace/src/Service.php ( 0.77 KB )
  57. /yingpanguazai/ssd/ssd1/www/www.sjds.net/vendor/topthink/framework/src/think/Middleware.php ( 6.72 KB )
  58. /yingpanguazai/ssd/ssd1/www/www.sjds.net/vendor/topthink/framework/src/think/initializer/BootService.php ( 0.77 KB )
  59. /yingpanguazai/ssd/ssd1/www/www.sjds.net/vendor/topthink/think-orm/src/Paginator.php ( 11.86 KB )
  60. /yingpanguazai/ssd/ssd1/www/www.sjds.net/vendor/topthink/think-validate/src/Validate.php ( 63.20 KB )
  61. /yingpanguazai/ssd/ssd1/www/www.sjds.net/vendor/topthink/think-orm/src/Model.php ( 23.55 KB )
  62. /yingpanguazai/ssd/ssd1/www/www.sjds.net/vendor/topthink/think-orm/src/model/concern/Attribute.php ( 21.05 KB )
  63. /yingpanguazai/ssd/ssd1/www/www.sjds.net/vendor/topthink/think-orm/src/model/concern/AutoWriteData.php ( 4.21 KB )
  64. /yingpanguazai/ssd/ssd1/www/www.sjds.net/vendor/topthink/think-orm/src/model/concern/Conversion.php ( 6.44 KB )
  65. /yingpanguazai/ssd/ssd1/www/www.sjds.net/vendor/topthink/think-orm/src/model/concern/DbConnect.php ( 5.16 KB )
  66. /yingpanguazai/ssd/ssd1/www/www.sjds.net/vendor/topthink/think-orm/src/model/concern/ModelEvent.php ( 2.33 KB )
  67. /yingpanguazai/ssd/ssd1/www/www.sjds.net/vendor/topthink/think-orm/src/model/concern/RelationShip.php ( 28.29 KB )
  68. /yingpanguazai/ssd/ssd1/www/www.sjds.net/vendor/topthink/think-helper/src/contract/Arrayable.php ( 0.09 KB )
  69. /yingpanguazai/ssd/ssd1/www/www.sjds.net/vendor/topthink/think-helper/src/contract/Jsonable.php ( 0.13 KB )
  70. /yingpanguazai/ssd/ssd1/www/www.sjds.net/vendor/topthink/think-orm/src/model/contract/Modelable.php ( 0.09 KB )
  71. /yingpanguazai/ssd/ssd1/www/www.sjds.net/vendor/topthink/framework/src/think/Db.php ( 2.88 KB )
  72. /yingpanguazai/ssd/ssd1/www/www.sjds.net/vendor/topthink/think-orm/src/DbManager.php ( 8.52 KB )
  73. /yingpanguazai/ssd/ssd1/www/www.sjds.net/vendor/topthink/framework/src/think/Log.php ( 6.28 KB )
  74. /yingpanguazai/ssd/ssd1/www/www.sjds.net/vendor/topthink/framework/src/think/Manager.php ( 3.92 KB )
  75. /yingpanguazai/ssd/ssd1/www/www.sjds.net/vendor/psr/log/src/LoggerTrait.php ( 2.69 KB )
  76. /yingpanguazai/ssd/ssd1/www/www.sjds.net/vendor/psr/log/src/LoggerInterface.php ( 2.71 KB )
  77. /yingpanguazai/ssd/ssd1/www/www.sjds.net/vendor/topthink/framework/src/think/Cache.php ( 4.92 KB )
  78. /yingpanguazai/ssd/ssd1/www/www.sjds.net/vendor/psr/simple-cache/src/CacheInterface.php ( 4.71 KB )
  79. /yingpanguazai/ssd/ssd1/www/www.sjds.net/vendor/topthink/think-helper/src/helper/Arr.php ( 16.63 KB )
  80. /yingpanguazai/ssd/ssd1/www/www.sjds.net/vendor/topthink/framework/src/think/cache/driver/File.php ( 7.84 KB )
  81. /yingpanguazai/ssd/ssd1/www/www.sjds.net/vendor/topthink/framework/src/think/cache/Driver.php ( 9.03 KB )
  82. /yingpanguazai/ssd/ssd1/www/www.sjds.net/vendor/topthink/framework/src/think/contract/CacheHandlerInterface.php ( 1.99 KB )
  83. /yingpanguazai/ssd/ssd1/www/www.sjds.net/app/Request.php ( 0.09 KB )
  84. /yingpanguazai/ssd/ssd1/www/www.sjds.net/vendor/topthink/framework/src/think/Request.php ( 55.78 KB )
  85. /yingpanguazai/ssd/ssd1/www/www.sjds.net/app/middleware.php ( 0.25 KB )
  86. /yingpanguazai/ssd/ssd1/www/www.sjds.net/vendor/topthink/framework/src/think/Pipeline.php ( 2.61 KB )
  87. /yingpanguazai/ssd/ssd1/www/www.sjds.net/vendor/topthink/think-trace/src/TraceDebug.php ( 3.40 KB )
  88. /yingpanguazai/ssd/ssd1/www/www.sjds.net/vendor/topthink/framework/src/think/middleware/SessionInit.php ( 1.94 KB )
  89. /yingpanguazai/ssd/ssd1/www/www.sjds.net/vendor/topthink/framework/src/think/Session.php ( 1.80 KB )
  90. /yingpanguazai/ssd/ssd1/www/www.sjds.net/vendor/topthink/framework/src/think/session/driver/File.php ( 6.27 KB )
  91. /yingpanguazai/ssd/ssd1/www/www.sjds.net/vendor/topthink/framework/src/think/contract/SessionHandlerInterface.php ( 0.87 KB )
  92. /yingpanguazai/ssd/ssd1/www/www.sjds.net/vendor/topthink/framework/src/think/session/Store.php ( 7.12 KB )
  93. /yingpanguazai/ssd/ssd1/www/www.sjds.net/vendor/topthink/framework/src/think/Route.php ( 23.73 KB )
  94. /yingpanguazai/ssd/ssd1/www/www.sjds.net/vendor/topthink/framework/src/think/route/RuleName.php ( 5.75 KB )
  95. /yingpanguazai/ssd/ssd1/www/www.sjds.net/vendor/topthink/framework/src/think/route/Domain.php ( 2.53 KB )
  96. /yingpanguazai/ssd/ssd1/www/www.sjds.net/vendor/topthink/framework/src/think/route/RuleGroup.php ( 22.43 KB )
  97. /yingpanguazai/ssd/ssd1/www/www.sjds.net/vendor/topthink/framework/src/think/route/Rule.php ( 26.95 KB )
  98. /yingpanguazai/ssd/ssd1/www/www.sjds.net/vendor/topthink/framework/src/think/route/RuleItem.php ( 9.78 KB )
  99. /yingpanguazai/ssd/ssd1/www/www.sjds.net/route/app.php ( 1.72 KB )
  100. /yingpanguazai/ssd/ssd1/www/www.sjds.net/vendor/topthink/framework/src/think/facade/Route.php ( 4.70 KB )
  101. /yingpanguazai/ssd/ssd1/www/www.sjds.net/vendor/topthink/framework/src/think/route/dispatch/Controller.php ( 4.74 KB )
  102. /yingpanguazai/ssd/ssd1/www/www.sjds.net/vendor/topthink/framework/src/think/route/Dispatch.php ( 10.44 KB )
  103. /yingpanguazai/ssd/ssd1/www/www.sjds.net/app/controller/Index.php ( 4.81 KB )
  104. /yingpanguazai/ssd/ssd1/www/www.sjds.net/app/BaseController.php ( 2.05 KB )
  105. /yingpanguazai/ssd/ssd1/www/www.sjds.net/vendor/topthink/think-orm/src/facade/Db.php ( 0.93 KB )
  106. /yingpanguazai/ssd/ssd1/www/www.sjds.net/vendor/topthink/think-orm/src/db/connector/Mysql.php ( 5.44 KB )
  107. /yingpanguazai/ssd/ssd1/www/www.sjds.net/vendor/topthink/think-orm/src/db/PDOConnection.php ( 52.47 KB )
  108. /yingpanguazai/ssd/ssd1/www/www.sjds.net/vendor/topthink/think-orm/src/db/Connection.php ( 8.39 KB )
  109. /yingpanguazai/ssd/ssd1/www/www.sjds.net/vendor/topthink/think-orm/src/db/ConnectionInterface.php ( 4.57 KB )
  110. /yingpanguazai/ssd/ssd1/www/www.sjds.net/vendor/topthink/think-orm/src/db/builder/Mysql.php ( 16.58 KB )
  111. /yingpanguazai/ssd/ssd1/www/www.sjds.net/vendor/topthink/think-orm/src/db/Builder.php ( 24.06 KB )
  112. /yingpanguazai/ssd/ssd1/www/www.sjds.net/vendor/topthink/think-orm/src/db/BaseBuilder.php ( 27.50 KB )
  113. /yingpanguazai/ssd/ssd1/www/www.sjds.net/vendor/topthink/think-orm/src/db/Query.php ( 15.71 KB )
  114. /yingpanguazai/ssd/ssd1/www/www.sjds.net/vendor/topthink/think-orm/src/db/BaseQuery.php ( 45.13 KB )
  115. /yingpanguazai/ssd/ssd1/www/www.sjds.net/vendor/topthink/think-orm/src/db/concern/TimeFieldQuery.php ( 7.43 KB )
  116. /yingpanguazai/ssd/ssd1/www/www.sjds.net/vendor/topthink/think-orm/src/db/concern/AggregateQuery.php ( 3.26 KB )
  117. /yingpanguazai/ssd/ssd1/www/www.sjds.net/vendor/topthink/think-orm/src/db/concern/ModelRelationQuery.php ( 20.07 KB )
  118. /yingpanguazai/ssd/ssd1/www/www.sjds.net/vendor/topthink/think-orm/src/db/concern/ParamsBind.php ( 3.66 KB )
  119. /yingpanguazai/ssd/ssd1/www/www.sjds.net/vendor/topthink/think-orm/src/db/concern/ResultOperation.php ( 7.01 KB )
  120. /yingpanguazai/ssd/ssd1/www/www.sjds.net/vendor/topthink/think-orm/src/db/concern/WhereQuery.php ( 19.37 KB )
  121. /yingpanguazai/ssd/ssd1/www/www.sjds.net/vendor/topthink/think-orm/src/db/concern/JoinAndViewQuery.php ( 7.11 KB )
  122. /yingpanguazai/ssd/ssd1/www/www.sjds.net/vendor/topthink/think-orm/src/db/concern/TableFieldInfo.php ( 2.63 KB )
  123. /yingpanguazai/ssd/ssd1/www/www.sjds.net/vendor/topthink/think-orm/src/db/concern/Transaction.php ( 2.77 KB )
  124. /yingpanguazai/ssd/ssd1/www/www.sjds.net/vendor/topthink/framework/src/think/log/driver/File.php ( 5.96 KB )
  125. /yingpanguazai/ssd/ssd1/www/www.sjds.net/vendor/topthink/framework/src/think/contract/LogHandlerInterface.php ( 0.86 KB )
  126. /yingpanguazai/ssd/ssd1/www/www.sjds.net/vendor/topthink/framework/src/think/log/Channel.php ( 3.89 KB )
  127. /yingpanguazai/ssd/ssd1/www/www.sjds.net/vendor/topthink/framework/src/think/event/LogRecord.php ( 1.02 KB )
  128. /yingpanguazai/ssd/ssd1/www/www.sjds.net/vendor/topthink/think-helper/src/Collection.php ( 16.47 KB )
  129. /yingpanguazai/ssd/ssd1/www/www.sjds.net/vendor/topthink/framework/src/think/facade/View.php ( 1.70 KB )
  130. /yingpanguazai/ssd/ssd1/www/www.sjds.net/vendor/topthink/framework/src/think/View.php ( 4.39 KB )
  131. /yingpanguazai/ssd/ssd1/www/www.sjds.net/vendor/topthink/framework/src/think/Response.php ( 8.81 KB )
  132. /yingpanguazai/ssd/ssd1/www/www.sjds.net/vendor/topthink/framework/src/think/response/View.php ( 3.29 KB )
  133. /yingpanguazai/ssd/ssd1/www/www.sjds.net/vendor/topthink/framework/src/think/Cookie.php ( 6.06 KB )
  134. /yingpanguazai/ssd/ssd1/www/www.sjds.net/vendor/topthink/think-view/src/Think.php ( 8.38 KB )
  135. /yingpanguazai/ssd/ssd1/www/www.sjds.net/vendor/topthink/framework/src/think/contract/TemplateHandlerInterface.php ( 1.60 KB )
  136. /yingpanguazai/ssd/ssd1/www/www.sjds.net/vendor/topthink/think-template/src/Template.php ( 46.61 KB )
  137. /yingpanguazai/ssd/ssd1/www/www.sjds.net/vendor/topthink/think-template/src/template/driver/File.php ( 2.41 KB )
  138. /yingpanguazai/ssd/ssd1/www/www.sjds.net/vendor/topthink/think-template/src/template/contract/DriverInterface.php ( 0.86 KB )
  139. /yingpanguazai/ssd/ssd1/www/www.sjds.net/runtime/temp/5febe16c9207553ef9b4c4406f7af920.php ( 12.06 KB )
  140. /yingpanguazai/ssd/ssd1/www/www.sjds.net/vendor/topthink/think-trace/src/Html.php ( 4.42 KB )
  1. CONNECT:[ UseTime:0.000971s ] mysql:host=127.0.0.1;port=3306;dbname=www_sjds;charset=utf8mb4
  2. SHOW FULL COLUMNS FROM `fenlei` [ RunTime:0.001646s ]
  3. SELECT * FROM `fenlei` WHERE `fid` = 0 [ RunTime:0.000837s ]
  4. SELECT * FROM `fenlei` WHERE `fid` = 63 [ RunTime:0.000769s ]
  5. SHOW FULL COLUMNS FROM `set` [ RunTime:0.002119s ]
  6. SELECT * FROM `set` [ RunTime:0.000625s ]
  7. SHOW FULL COLUMNS FROM `article` [ RunTime:0.002117s ]
  8. SELECT * FROM `article` WHERE `id` = 485595 LIMIT 1 [ RunTime:0.015828s ]
  9. UPDATE `article` SET `lasttime` = 1777523329 WHERE `id` = 485595 [ RunTime:0.002965s ]
  10. SELECT * FROM `fenlei` WHERE `id` = 65 LIMIT 1 [ RunTime:0.000795s ]
  11. SELECT * FROM `article` WHERE `id` < 485595 ORDER BY `id` DESC LIMIT 1 [ RunTime:0.000985s ]
  12. SELECT * FROM `article` WHERE `id` > 485595 ORDER BY `id` ASC LIMIT 1 [ RunTime:0.004194s ]
  13. SELECT * FROM `article` WHERE `id` < 485595 ORDER BY `id` DESC LIMIT 10 [ RunTime:0.001613s ]
  14. SELECT * FROM `article` WHERE `id` < 485595 ORDER BY `id` DESC LIMIT 10,10 [ RunTime:0.003600s ]
  15. SELECT * FROM `article` WHERE `id` < 485595 ORDER BY `id` DESC LIMIT 20,10 [ RunTime:0.008756s ]
0.227961s