



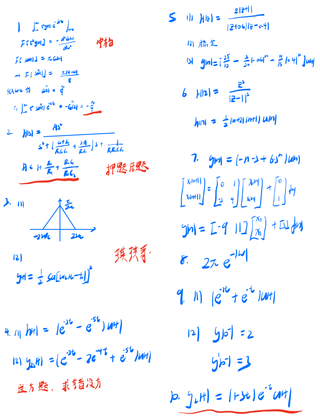
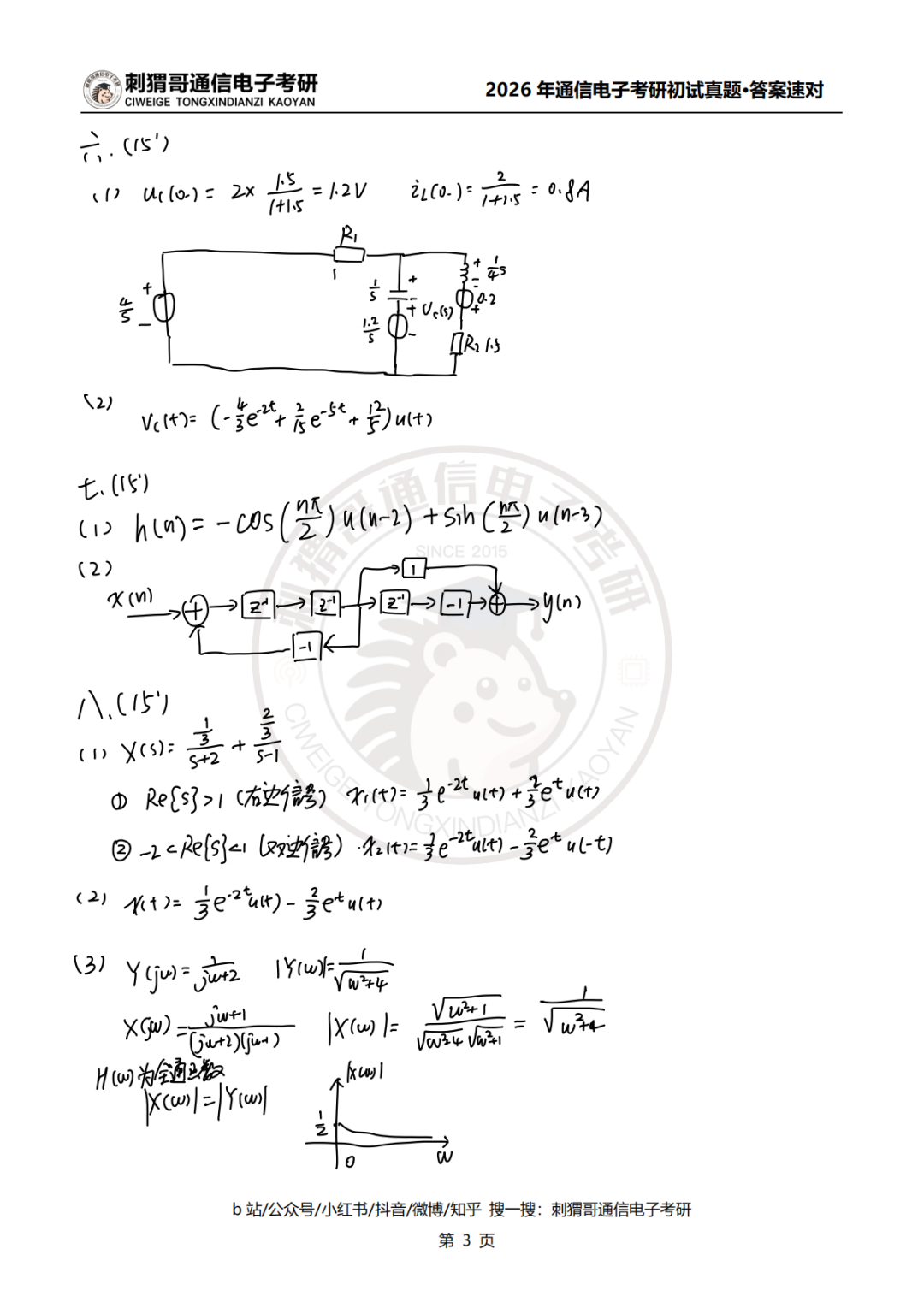
今年考研初试中,刺猬哥通信电子考研再次展现了超凡的“预言”能力,一如既往地压中多所院校多道题目,同学们在考场上“不亦乐乎”,纷纷前来报喜!

未完待续......

目前,刺猬哥通信电子考研团队已经在第一时间收集26初试真题、并整理答案。未来几天,我们将通过“刺猬哥通信电子考研”公众号、b站、小红书、院校QQ群等,持续发布各院校2026真题最准确的答案,请同学们保持关注!
也非常欢迎同学们提供真题回忆,哪怕只能回忆出一道题也可以来投稿,有偿!(点击这里加入院校交流群投稿)

同学们也可以保存上方二维码,各院校26真题答案整理完成后第一时间也会上传到二维码的链接中。
12月21日已经发布的25真题答案,包含:
深圳大学802电子信息与通信系统综合
河海大学863信号与系统
武汉理工大学855信号与系统
中国矿业大学824专业基础综合
本期25真题答案,包含:
安徽大学830专业综合一
安徽大学841专业综合一
北京理工大学826信号处理导论
华南理工大学811信号与系统
南昌大学811信号与系统
南京大学851信号与系统
南京信息工程大学811信号与系统
宁波大学829信号与系统
西安邮电大学824信号与系统
西南交通大学824信号与系统
长安大学814信号与系统
中北大学808信号与系统
中南大学853信号与系统




安徽大学830







安徽大学841





北京理工大学826



华南理工大学811








南昌大学811



南京大学851





南京信息工程大学811











宁波大学829




西安邮电大学824








西南交通大学824



长安大学814



中北大学808





中南大学853










未来几天我们将陆续整理发布多所院校的真题答案,敬请关注“刺猬哥通信电子考研团队”微信公众号、小红书、b站、院校群等发布的信息。




↓往届复试班好评↓


↓复试班试听课↓












刺猬哥通信电子考研团队
11年
刺猬哥考研团队成立11年,专注通信、电气、物理和数学考研辅导,团队成员来自于浙大、西交、华科、成电等985高校,专业实力强劲,执教经验丰富。

刺猬哥考研团队坚持用口碑证明态度、用成绩说明实力。团队凭借多年辅导经验,精准把握命题方向,多次命中原题。
NO.1
过去11年,刺猬哥考研团队已辅导数十万名考生顺利上岸,成绩斐然。团队所辅导的学员多以专业课高分超越其他考生,领跑初试、拔得头筹。

刺猬哥考研团队用最优质的课程资料、最扎实的辅导带学、最负责的24h答疑,从择校、初试、复试到联系导师,一路保驾护航,助力考生,快人一步!

— 获取更多内容 —
报考指南后台回复“择校指南”获取
课程咨询后台回复“课程”了解详情
院校群聊后台回复“院校群”获取
加入我们后台回复“招贤纳士”获取
刺猬哥通信电子考研团队原创出品
未经许可,严禁全文转载或部分使用