
欢迎报考华中科技大学!
华中科技大学 2026 年的数学分析试题难度与往年持平,涉及知识面广泛,整卷没有偏难怪,大多是经典问题的复现。该试题主要考查了以下知识点:
定积分的定义法,常规极限计算,关键在于 sin 的放缩与夹逼
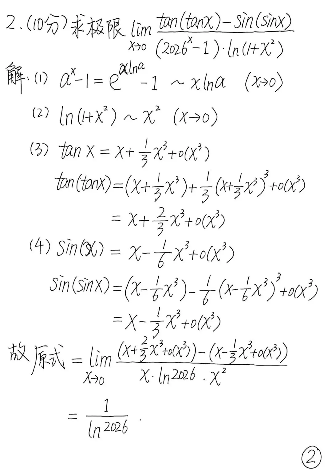
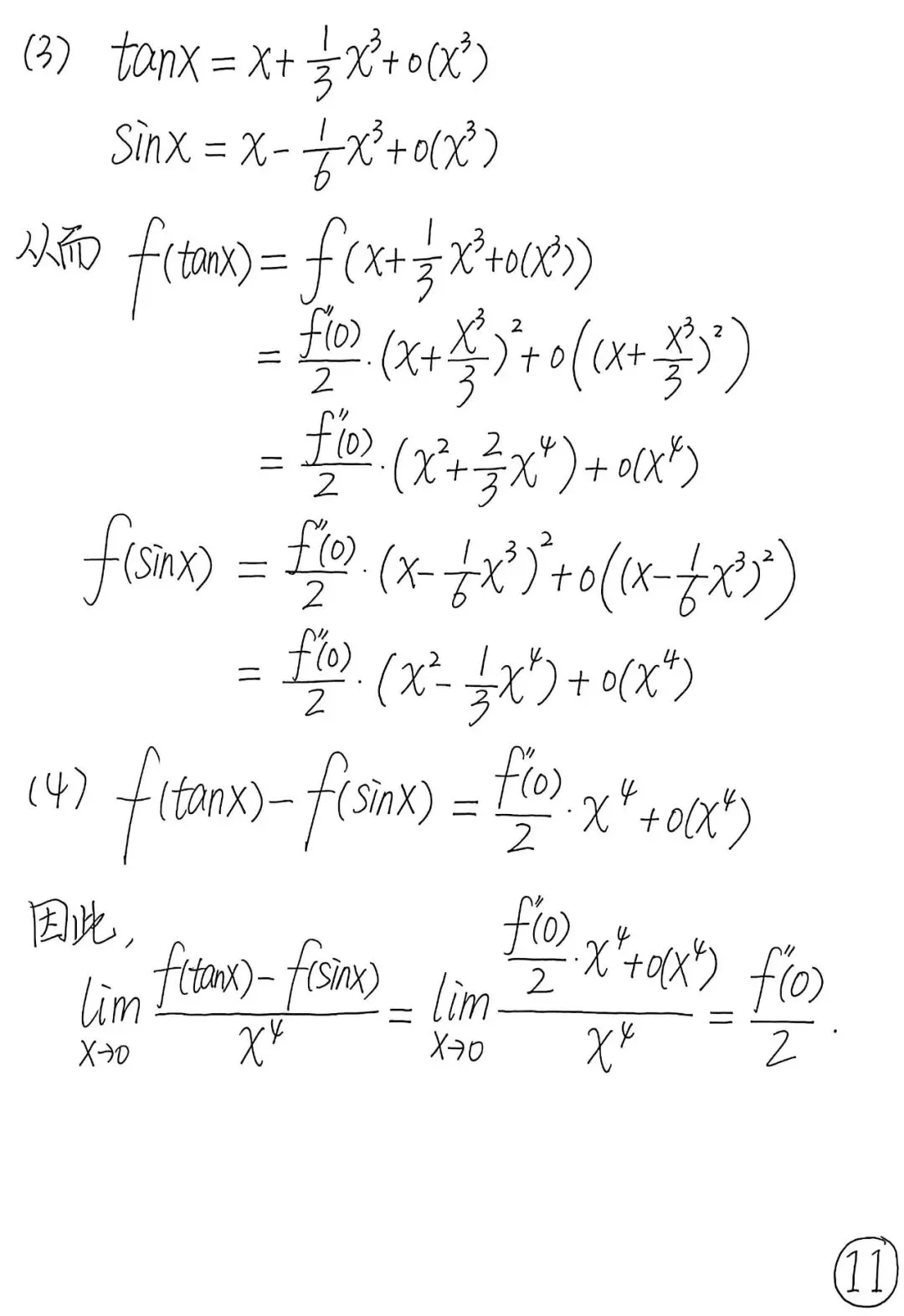
利用 Taylor 展开计算极限,注意需展开到 4 次方
积分号下求导法
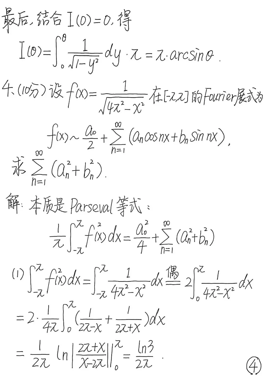
Fourier 理论问题中的经典 Parseval 等式
积分与路径无关,与 华科 2024 数学分析 T3 如出一辙
利用 Gauss 公式将第二型曲面积分转化为三重积分,随后利用柱坐标变换计算三重积分
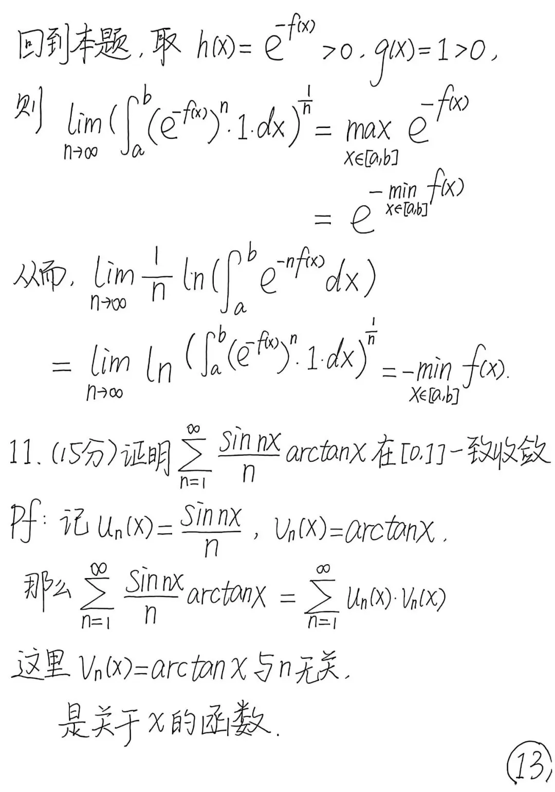
经典 Stolz 公式的理论问题
积分形式的 Gronwall 不等式 与 Bihari 不等式
试题来源于 数学考研李扬考生回忆版,祝一切顺利、心想事成。


























