中小学预习复习资料同步教辅汇总 ☞ 语文预习| ☞ 课堂笔记| ☞ 数学预习 ☞ 一年级 |☞二年级| ☞三年级 ☞ 四年级|☞ 五年级| ☞ 六年级
领取电子版请拉到文末
领取电子版请拉到文末
领取电子版请拉到文末

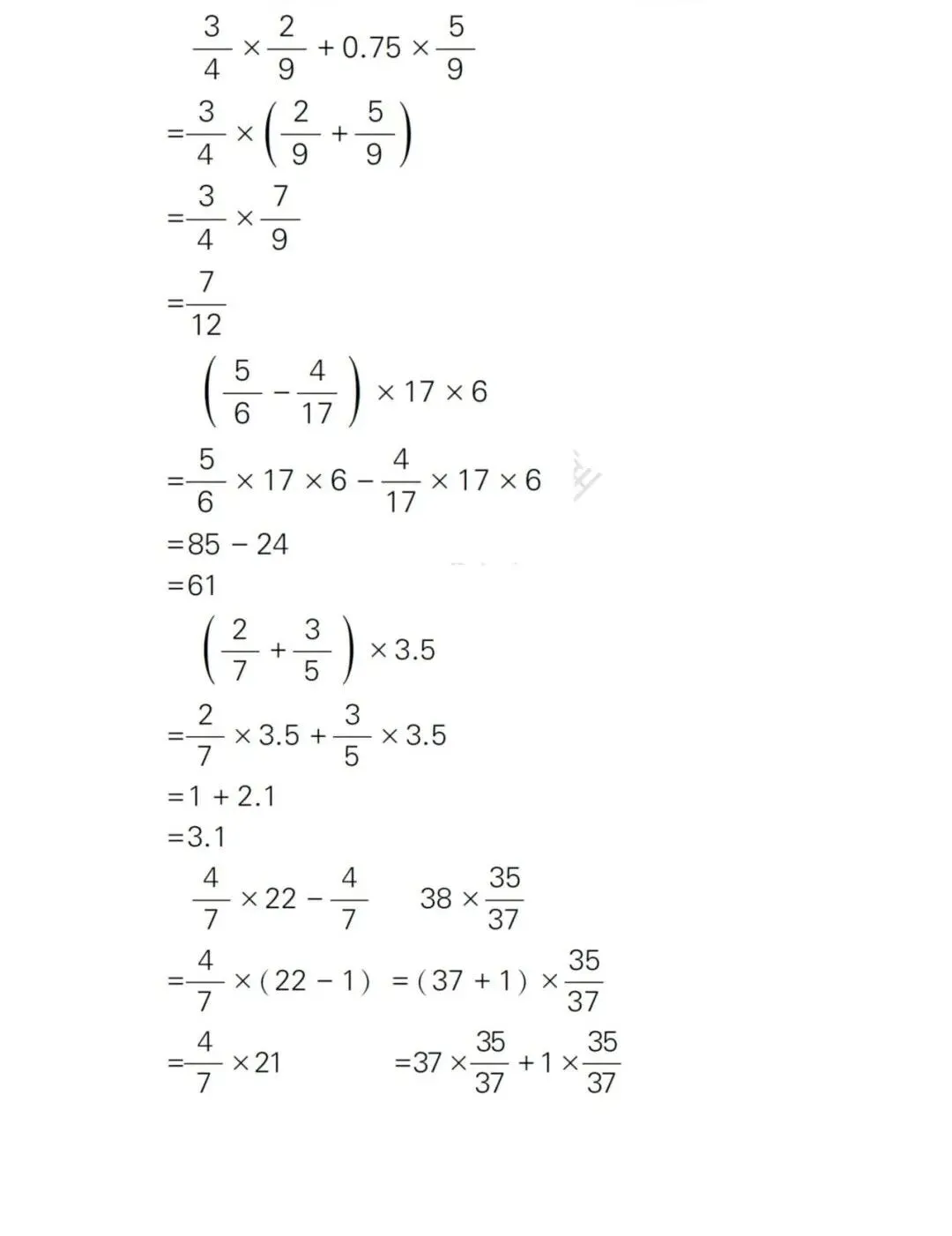
第一单元试卷









回复【单元试卷】领取人教版数学六年级上册第一单元试卷

部编版语文1-6年级上册《金牌教案》辅导书,可下载打印! 部编版语文一年级(上册)一课一练,免费下载 部编版语文二年级(上册)一课一练,免费下载 部编版语文三年级(上册)一课一练,免费下载 部编版语文四年级(上册)一课一练,免费下载 部编版语文五年级(上册)一课一练,免费下载 部编版语文六年级(上册)一课一练,免费下载 计算小超市1-6年级合订本|可下载打印 课文朗读!部编版语文1-6年级上册课文朗读视频(完整版) 北师大版数学1-6年级上册《跳跳熊口算题》暑假专项练习(含答案)|可下载打印
声明:本文素材来源于网络,不代表小学语数微课堂平台所持的观点。如涉及侵权,请联系删除!小书包学习课堂专注于小学教育资讯分享,学习资料分享,是老师、家长、学生的好伙伴!商务合作微信:wkt2020