
中学数学星空、星空高中数学--热点数学问题的交流空间
致各位读者:因为公众号平台改变了推送规则,如果想正常看到“中学数学星空”的推送,可能需要大家在阅读后,在文末右下角点一下“在看”或者“星标”,我们每次的新文章才会第一时间出现在你的订阅列表里,人海茫茫,不想和大家错过。
一路走来,感恩相伴!
不知不觉,本公众号粉丝已突破21.8 万 +。
衷心感谢广大师生、家长长久以来的信任、支持与一路同行;也诚挚感谢所有参与资料编辑、内容策划的团队伙伴,默默深耕、用心付出,打磨每一份学习教研资源。
依托优质课程内容支持,我们一定凝心聚力,持续把公益教研、助学分享、资料共建的服务做得更稳、更长久。
新岁启新程,初心再出发。




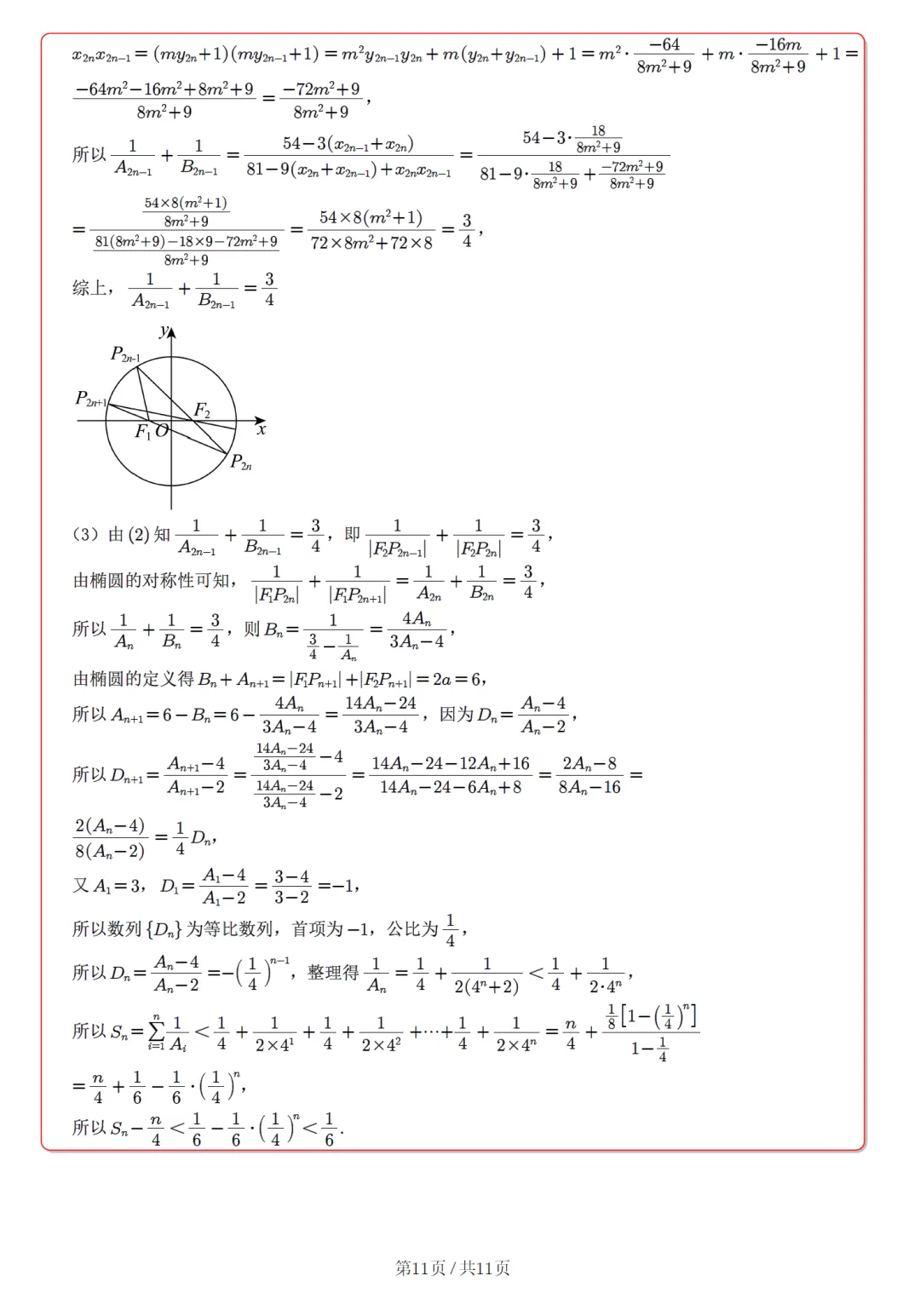
解析(答)部分











2026届新高考高三试卷汇总
254.浙江湖衢丽三地市高三联考数学试卷及逐题解析(2026.4)
253.湖南新高考教学教研联盟高三数学试卷及逐题解析(2026.4)
252.福建福州漳州南平市高三适应数学试卷及逐题解析(2026.4)
250.浙江宁波市二模高三数学试卷及逐题解析(2026.4)
249.浙江金华十校高三联考数学试卷及逐题解析(2026.4)
248.浙江台州市二模高三数学试卷及逐题解析(2026.4)
247.浙江温州市二模高三数学试卷及逐题解析(2026.4)
245.台州市二模高三联考数学试卷及逐题解析(2026.4)
244.江西省八所重点中学高三联考数学试卷及逐题解析(2026.4)
243.湖北荆州市高三调研数学试卷及逐题解析(2026.4)
242.山东中学联盟高三联考数学试卷及逐题解析(2026.4)
241.湖南湘潭市高三三模数学试卷及逐题解析(2026.4)
240.福建厦门市高三二检数学试卷及逐题解析(2026.4)
239.天一大联考高三联考数学试卷及逐题解析(2026.3)
238.河南九师联盟高三联考数学试卷及逐题解析(2026.3)
237.湖北黄石市高三3月模拟数学试卷及逐题解析(2026.3)
236.江苏省苏北七市高三第二次调研数学试卷及逐题解析(2026.3)
235.湖北省黄冈中学等十一校高三数学试卷及逐题解析(2026.3)
234.江苏省南通市高三调研考数学试卷及逐题解析(2026.3)
233.浙江嘉兴市桐乡市高三调研考数学试卷及逐题解析(2026.3)
232.江苏苏锡常镇四市高三调研考数学试卷及逐题解析(2026.3)
231.湖南天一大联考高三数学试卷及逐题解析(2026.3)
230.湖南名校大联盟高三联考数学试卷及逐题解析(2026.3)
229.广东省广州市高三统考数学试卷及逐题解析(2026.3)
228.广东2026届高三一模数学试卷及逐题解析(2026.3)
227.金丽衢十二校高三第二次联考数学试卷及答案(2026.3)
226.浙江宁波十校高三联考数学试卷及逐题解析(2026.3)
225.湖北省黄冈市高三模拟数学试卷及逐题解析(2026.3)
224.山东省青岛市高三零模数学试卷及逐题解析(2026.3)
223.江苏省扬州市高三模考数学试卷及逐题解析(2026.3)
222.湖南九校联盟高三第二次联考数学试卷及逐题解析(2026.3)
221.河北唐山市高三一模数学试卷及逐题解析(2026.3)
219.浙江省杭州第二中学高三开学考数学试卷及逐题解析(2026.3)
218.福建莆田市高三二模数学试卷及逐题解析(2026.3)
217.广东省佛山市顺德区高三二模数学试卷及逐题解析(2026.3)
215浙江省名校协作体高三联考数学试卷及逐题解析(2026.3)
214.浙江强基联盟高三联考数学试卷及逐题解析(2026.3)
213浙江省新阵地教育联盟高三联考数学试卷及逐题解析(2026.3)
212.湖南雅礼中学高三开学考数学试卷及逐题解析(2026.3)
211.河南九师联盟高三开学联考数学试卷及逐题解析(2026.3)
210.安徽A10联盟高三联考数学试卷及逐题解析(2026.3)
2026届新高考高三试卷汇总
2025届新高考高三试卷(进入下面链接查找)
星空欢迎大家交流研讨
星空教师1群:223476941(满)
星空教师2群:786850713(满)
星空教师3群:935654595
星空教师4群:562426273
2026届学生1群:699804492
2026届学生2群:1143346817
2027届学生群:1036228038
2027届学生2群:264013574
2028届学生群:1036229236
强基与竞赛交流群:531930321
