
★ 关注小卫,了解【#公卫考研#预防医学#公共卫生考研#预防医学考研#353卫生综合】更多资讯~
1
前言
从”相关分析”到”回归建模”再到”方程检验”,是卫生统计学中最经典、最高频的技术链条。2026年华中科技大学这道真题,以”急性冠状动脉综合征(ACS)患者Gensini评分与hs-CRP水平”的临床问题为背景,用18分的高分值,串联了相关分析合理性评价、回归方程参数计算、回归方程显著性检验(F检验与t检验)三大模块。
这道题的难度梯度极为清晰:第(1)问考“该不该用”(方法选择),第(2)问考“怎么算”(参数估计),第(3)问考“怎么验”(假设检验)。从方法学反思到技术实现,再到统计推断,完整覆盖了回归分析的全生命周期。
今天,我们不仅算出截距1.3、解释系数0.9,更要掌握F检验与t检验的等价性证明——这是理解线性回归本质的”最后一跃”!
2
真题再现
4、一项研究探讨急性冠状动脉综合征患者冠状动脉Gensini评分与血清超敏C反应蛋白(hs-CRP)水平的相关性。研究者利用Pearson相关系数,判定Gensini评分与hs-CRP水平相关性,提出hs-CRP水平与Gensini评分呈正相关(P<0.05,r=0.75)。(18分)
(1)请问上述分析是否合理?请给出你的理由。(3分)
(2)研究者用简单线性回归方法分析冠状动脉Gensini评分与hs-CRP水平的相关性。已知观测样本中hs-CRP水平(X)的均值为3,Gensini评分(Y)的均值为4,回归系数b为0.9,求回归方程的截距并解释回归系数b的含义。(5分)
(3)如何用两种方法判断该回归方程是否成立?写出分析的主要步骤(检验假设、两种统计量的形式)和结论。(10分)
3
满分答案
(1)Pearson相关分析的合理性评价

结论:上述分析不完全合理。
三大理由:

详细阐述:
① 相关≠因果: - Pearson相关系数r=0.75仅说明hs-CRP与Gensini评分存在较强的正线性相关 - 但不能判断:是hs-CRP升高导致冠脉病变加重?还是冠脉病变导致炎症反应(hs-CRP升高)?或二者受共同因素影响? - 若要建立预测关系或探索因果,应采用回归分析而非仅依赖相关分析
② 前提条件未明确验证:-正态性:hs-CRP和Gensini评分是否均服从正态分布?hs-CRP常为偏态分布 - 线性:散点图是否呈现直线趋势?若曲线趋势,Pearson r会低估关联 - 独立性:各观测值是否相互独立?同一患者的多次测量不满足
③ 结论可靠性存疑:-仅报告r和P值,缺乏对数据特征的描-若hs-CRP偏态,应采用Spearman等级相关;若存在异常值,r值可能被夸大
⭐评分关键:指出”不完全合理”得1分;相关≠因果得1分;前提条件未验证得1分。
(2)回归方程截距计算与回归系数解释

已知条件:
=3(hs-CRP均值)
=4(Gensini评分均值) - b=0.9(回归系数)
① 截距计算:
回归直线必过点
代入回归方程

回归方程:
② 回归系数b=0.9的含义:
在hs-CRP水平的观察范围内,hs-CRP每增加1个单位,Gensini评分的平均预测值增加0.9个单位。
⭐ 注意:回归系数的解释必须限定在观察数据范围内,不能随意外推。
(3)回归方程显著性检验的两种方法

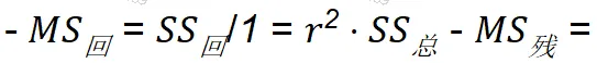
方法一:方差分析(F检验)
检验假设:
(回归方程不成立,X与Y无线性关系)
(回归方程成立,X与Y存在线性关系) 检验水准 α=0.05
变异分解:

F统计量:

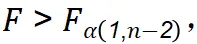
服从自由度为(1,n-2)的F分布。
结论判定: -若
,则P<α ,拒绝H0,回归方程有统计学意义
方法二:t检验(对回归系数b的检验)
检验假设:
检验水准α=0.05
标准误计算:

回归系数的标准误:

t统计量:

服从自由度为v=n-2的t分布。
结论判定:
,则P<α ,拒绝H0,回归系数有统计学意义
两种方法的等价性
核心结论:在简单线性回归中,F检验与t检验等价。
数学证明:
F=t2
即F统计量等于t统计量的平方。因此:-若F检验拒绝H0,则t检验必然拒绝H0 - 两种方法得出的结论完全一致
方法选择建议:

4
核心知识点复习
知识点1:Pearson相关的适用条件


知识点2:相关分析与回归分析的关系


关键公式联系:

知识点3:F检验与t检验的等价性深度解析


等价性证明思路:
在简单线性回归中:


同时:

知识点4:回归分析的前提条件(LINE)


5
秒杀口诀
✔ Pearson相关前提口诀
“正态线性要独立,三者满足才能行;偏态等级用Spearman,曲线关系要转型”
✔ 相关vs回归辨析口诀
“相关对称无因果,回归定向有预测;r标准化无单位,b有单位看变量”
✔ 截距计算口诀
“回归直线过均值,截距等于Y均值减b乘X均值;代入公式别硬算,几何意义要记清”
✔ 回归系数解释口诀
“X每变一单位,Y平均变b个;正负看方向,大小看强度;外推要谨慎,观察范围内”
✔ F检验与t检验等价口诀
“简单回归两法等,F等于t的平方;F看整体t看系数,多重回归F当家”
✔ 变异分解口诀
“总变异分两块,回归解释残差猜;R平方是比例,回归占总多少开”
6
下期预告
下一期我们将拆解南京医科大学353(非全日制)的两独立样本t检验真题——“两种教育方法对高血压患者干预效果的比较”,这道题涵盖统计方法选择、前提条件、假设建立与结论表述四大基础环节,是卫生统计学假设检验板块的标准模板题!
关注本号,持续更新2026年卫生统计学典型真题拆解,助你353专业课高分上岸!
本文题目来源:华中科技大学353 2026年真题
整理:卫灿公卫考研辅导团队

抢跑上岸 卫灿助你


点击查看 近期热门





给小卫点个赞吧ヾ(◍°∇°◍)ノ゙!
