
由于电子文档以外部链接存放具有不稳定性与不可控性,为此,咱们公众号的封面图片原始高清文件和推文中明确有PDF文档免费分享的电子文档下载请通过考研竞赛交流圈(点击公众号底部菜单选项考研竞赛交流圈,或公众号会话框回复关键词交流圈进入)文件或美图分类,或相应分类标签快速获取。咱号不赞成积累、打印电子文档,希望学友们通过笔记本、草稿纸,抄抄(抄题)写写(做题)学数学!
试 题



【注1】试题与参考解析由热心学友XH乐整理分享,试题来源于网络分享,相关题目可能略有改动,内容是否完整对应相应年份的题目,希望知晓的学友能够进行核验!试题和解答分享仅供学习交流,如题目或解答来源原出处不允许分享,请联系删除或修改,谢谢!建议(一定)自己在草稿纸上动手做完以后再参考下面给出的参考答案!更多综合、提高典题型及详细参考解答(多解)参看高数、数分综合提高练习册,点击推文链接:高等数学、数学分析综合提高练习册:竞赛、考研、课程学习,有这一套就够了 了解详情!
【注2】一般考研、竞赛题题目、题型很具有典型性,涵盖的知识点基本上属于课程、考研、大学生数学竞赛必须掌握的内容,所以除了是准备全国竞赛和考研是很好的资料外,对于加强课程学习、理解,打基础,提升、强化、巩固复习效果有很大的促进、提升作用!
【特别提醒】数学内容推文整理分享、阅读都不容易,费时费力更费脑!参考解答仅供参考,更多地关注试题。解答与思路仅代表作者对问题的理解,解答过程不一定严谨或完全正确,希望在对照完以后,不管是题目有问题,还是参考解答过程有问题,希望学友们可以在文后留言不吝指出!如果有更好的解题思路与过程,也欢迎通过管理员邮箱、微信或QQ以图片、或Word文档形式发送给管理员,对于分享的完整思路与解答过程,管理员将尽可能在第一时间推送和大家分享,谢谢!
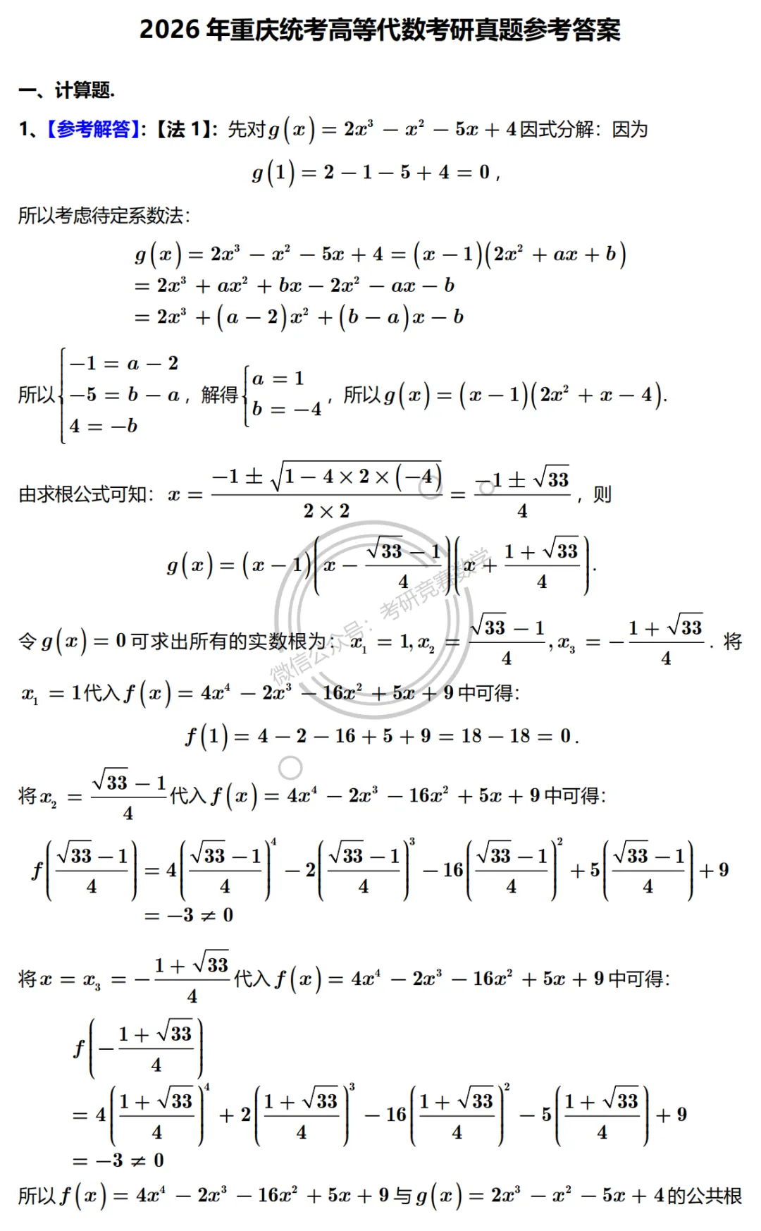
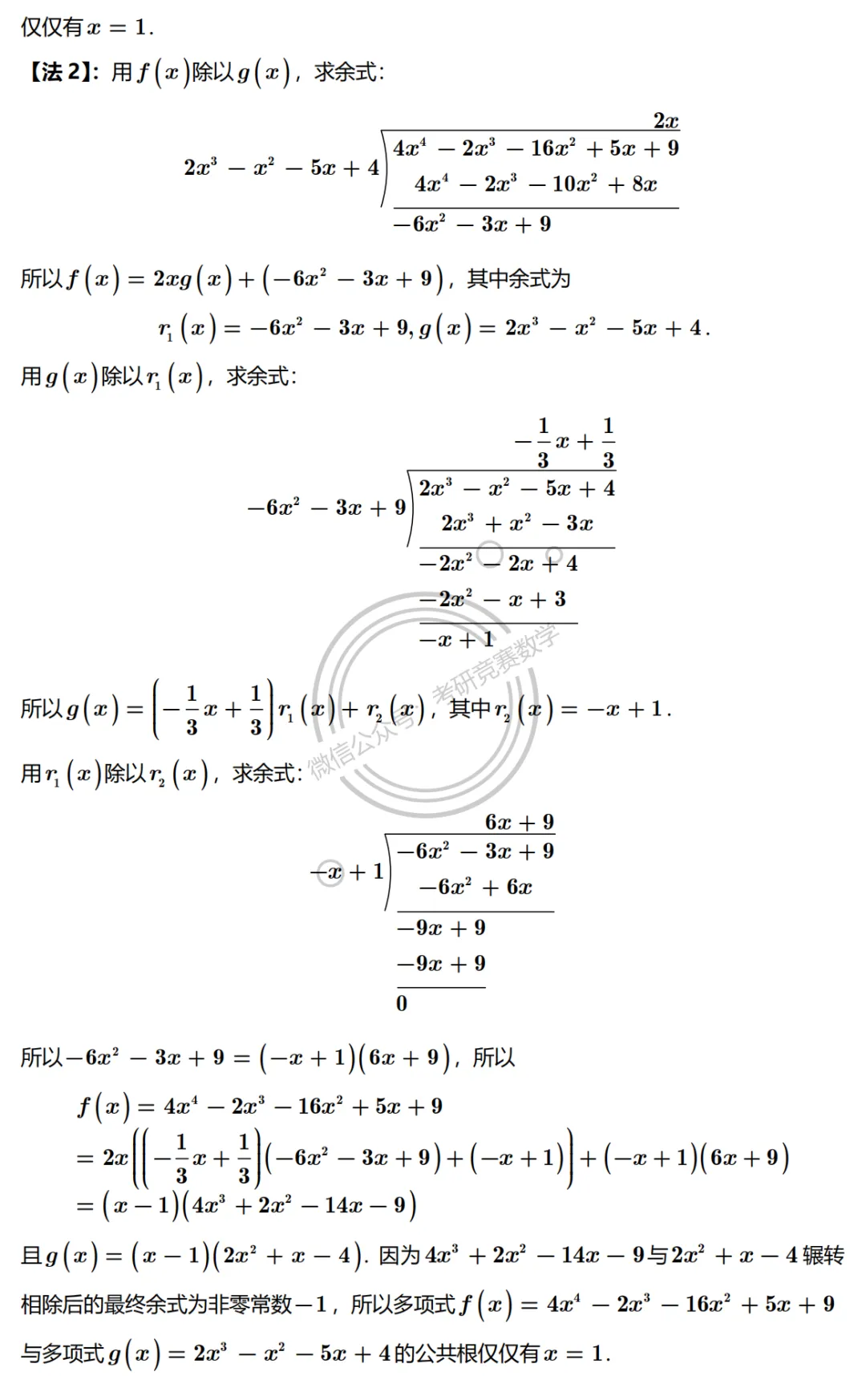
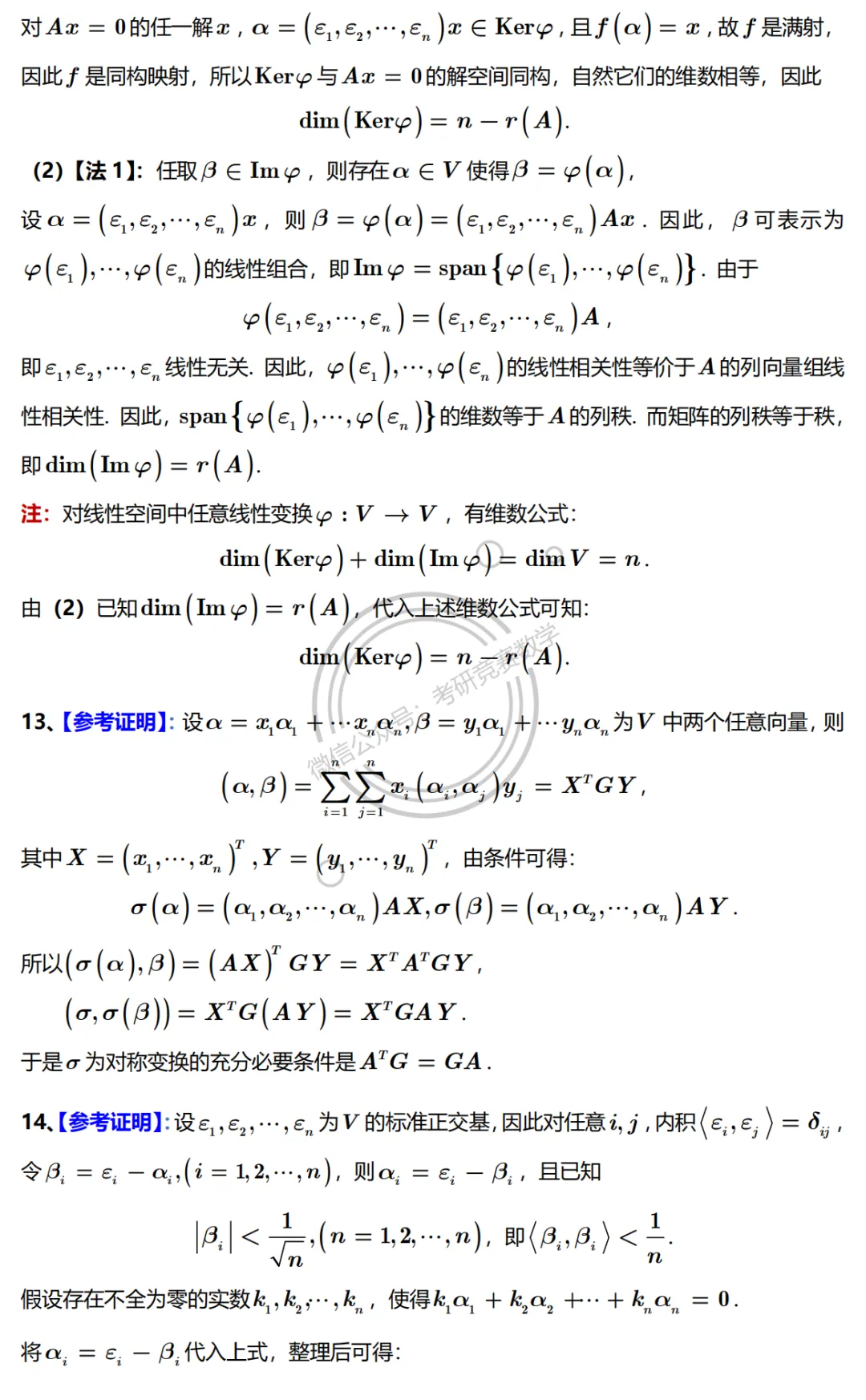
参考答案
【说明】:以下解答为学友整理分享,咱号没有二次检验验证,思路与解答过程仅供参考,不能完全保证正确与严谨,如果发现问题希望学友们能够在文后直接留言交流,感谢阅读!

















推荐阅读
2、高等数学、数学分析综合提高练习册:竞赛、考研、课程学习,有这一套就够了
微信公众号:考研竞赛数学(ID: xwmath)大学数学公共基础课程分享交流平台!支持咱号请点赞分享!

↓↓↓点阅读原文查看更多精彩内容