武汉市三月调考数学试卷及解析出炉!湖北省高质量试卷,考生必存
刚刚,武汉市2026届高中毕业生三月调研考试数学试卷及解析新鲜出炉!
作为湖北省内质量最高、最受重视的考试之一,武汉市三月调考每年都备受关注。不仅武汉市的高中生高度重视,湖北省内其他地市的师生也密切关注这次考试的动向。试卷及解析的发布,为广大师生提供了宝贵的教学和复习资料。
考试背景与重要性
武汉市三月调考的定位
武汉市三月调考是武汉市教育局组织的综合性调研考试,每年三月定期举行。这次考试在湖北省内具有特殊的地位和影响力:
时间节点关键:三月是高三复习的关键时期,这次考试既是对一轮复习成果的检验,也为二轮复习提供方向指引。
命题质量过硬:武汉市作为湖北省教育强市,其命题团队经验丰富,试卷设计科学合理,题型新颖但不过度偏怪,深受广大师生的认可。
参考价值极高:由于武汉市高中教育水平在湖北省内领先,这套试卷的命题思路、题型分布、难度梯度都极具参考价值,是湖北省内其他地区重要的备考参考。
学生的重视程度
根据历年经验,武汉市三月调考是高三学生极为重视的考试:
- 考前准备充分:学生会专门调整复习计划,针对这次考试进行针对性准备
- 考后认真总结:考试结束后,学生会认真分析试卷,查找自己的薄弱环节
- 省内广泛关注:不仅是武汉市的学生,湖北省内其他地市的师生也会认真研究这套试卷
试卷质量分析
整体质量特点
从往年的武汉市三月调考试卷来看,这套试卷具有以下显著特点:
1. 基础与创新并重
试卷在保证基础题型占主导地位的同时,会适当引入一些新颖的题型或创新性的解题思路。这种设计既考查了学生的基础知识掌握情况,又检验了学生的创新思维能力和应变能力。
对于基础题型,命题者注重考查的全面性,确保各个知识点都能得到合理的覆盖。对于创新型题目,则注重考查学生的综合运用能力和逻辑思维能力。
2. 难度梯度合理
试卷的难度设置遵循从易到难的梯度分布,前半部分以基础题和中档题为主,帮助学生建立信心;后半部分逐渐增加难度,包含一些有挑战性的题目,能够区分出不同层次的学生。
这种难度设置既保证了大部分学生能够得到基本分,又为优秀学生提供了展示自己的空间。
3. 应用题设计精妙
武汉市三月调考的应用题往往设计精妙,既有真实的生活背景,又能很好地考查学生的数学建模能力和解决实际问题的能力。这些题目不是简单地套用公式,而是需要学生理解题意、建立模型、选择方法、计算求解的全过程。
命题特色
根据多年的观察,武汉市三月调考的命题具有以下特色:
注重数学思维考查
试卷不仅考查数学知识的记忆和简单运用,更注重数学思维能力的考查。一些题目可能需要学生运用多种数学思想,如数形结合、分类讨论、转化化归等。
联系实际紧密
部分题目会联系实际生活或科技应用场景,考查学生将数学知识应用于实际问题的能力。这种设计体现了数学的实用性和时代性。
强调核心素养
试卷设计充分考虑了数学核心素养的考查,包括数学抽象、逻辑推理、数学建模、直观想象、数学运算、数据分析等六个方面。
教学参考价值
对于数学教师
武汉市三月调考的试卷对广大数学教师具有重要的教学参考价值:
1. 命题思路参考
这套试卷的命题思路可以为教师提供宝贵的参考。教师可以学习命题者如何设计题目、如何平衡难度、如何设置梯度、如何体现核心素养等。
2. 备考方向指引
通过分析这套试卷,教师可以把握当前的教学重点和备考方向。试卷中考查的知识点、题型、能力要求,都可以为后续的教学和备考提供指引。
3. 典型题型积累
试卷中会出现一些典型的或新颖的题型,这些题目可以作为教师教学的重要素材。教师可以将这些题目融入到日常教学中,丰富教学资源。
对于学生
对于广大学生而言,这套试卷的价值主要体现在:
1. 能力检验
通过完成这套试卷,学生可以全面检验自己的数学能力,了解自己在各个知识点上的掌握情况,发现薄弱环节。
2. 方法学习
试卷的标准解析提供了多种解题思路和方法,学生可以通过学习这些方法,拓宽自己的解题思路,提高解题能力。
3. 备考练兵
作为高考前的一次重要练兵,这套试卷可以帮助学生适应高难度的题目,积累考试经验,提高应试能力。
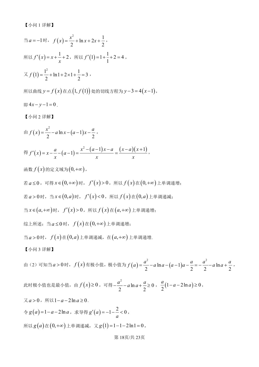
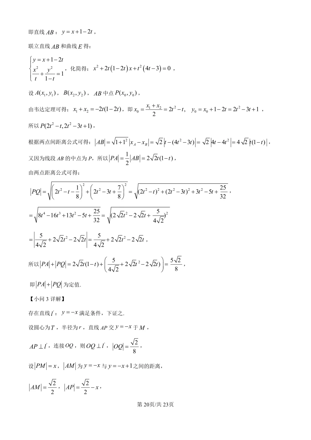
试卷及解析
以下是完整的武汉市2026届高中毕业生三月调研考试数学试卷及解析,共23页。希望广大师生能够充分利用这套优质试卷,提升教学和学习效果。























教学建议
针对不同层次的题型
基础题型教学建议
对于试卷中的基础题型,教师应该:
- 强化基础知识教学:确保学生扎实掌握基本概念、公式、定理
中档题型教学建议
对于试卷中的中档题型,教师应该:
高档题型教学建议
对于试卷中的高档题型,教师应该:
备考方向建议
根据武汉市三月调考的命题特点,备考可以重点关注以下方面:
1. 夯实基础
无论试题如何变化,基础知识永远是根本。学生应该扎实掌握各个知识点的基本概念、基本方法、基本技能。
2. 提高能力
高考不仅考查知识的掌握,更考查能力的发展。学生应该注重提高自己的数学思维能力、逻辑推理能力、计算能力、空间想象能力等。
3. 注重应用
高考越来越注重数学的应用性,学生应该学会将数学知识应用于实际问题,提高数学建模能力。
4. 积累经验
通过多做高质量的题目,积累解题经验,提高解题的速度和准确性。
结语
武汉市2026届高中毕业生三月调研考试数学试卷及解析的发布,为广大师生提供了宝贵的教学和学习资源。希望广大师生能够充分利用这套优质试卷,深入分析、认真研究、总结经验、提升能力。
距离高考还有一段时间,每一次考试都是宝贵的学习机会。希望广大学生能够通过这次考试,找到自己的薄弱环节,及时调整复习策略,在高考中取得理想的成绩。也希望广大教师能够从这套试卷中获得启发,优化教学设计,提高教学质量,为学生的成长提供更好的支持。
作为数学老师,你怎么看这次武汉市三月调考的试卷?欢迎在评论区分享你的看法和教学心得!