| 语文 | 作文 | 数学 | 英语 | 物理 |
| 化学 | 地理 | 生物 | 历史 | 育儿 |
| 音美 | 道德与法治 | 中学生辅导 |
人教版六年级数学上册期末试卷A卷
一、填空(共20分,其中第1题、第2题各2分,其它每空1分)
1、3吨=( )吨( )千克 70分=( )小时。
2、()∶()= =80%=()÷40
3、()吨是30吨的,50米比40米多()%。
4、六(1)班今天出勤48人,有2人因病请假,今天六(1)班学生的出勤率是()。
5、0.8:0.2的比值是( ),最简整数比是( )
6、某班学生人数在40人到50人之间,男生人数和女生人数的比是5∶6,这个班有男生( )人,女生( )人。
7、从甲城到乙城,货车要行5小时,客车要行6小时,货车的速度与客车的速度的最简比是( )。
8、王师傅的月工资为2000元。按照国家的新税法规定,超过1600元的部分应缴5%个人所得税。王师傅每月实际工资收入是()元。
9、小红小时行千米,她每小时行( )千米,行1千米要用( )小时。
10、用一根长12.56米的绳子围成一个圆,这个圆的直径是(),面积是()。
11、在一块长10分米、宽5分米的长方形铁板上,最多能截取( )个直径是2分米的圆形铁板。
12、请你根据图形对称轴的条数按照从多到少的顺序,在括号里填上适当的图形名称。 圆、( )、( )、长方形。
二、判断(5分,正确的打“√”,错误的打“×”)
1、7米的与8米的一样长。 …………………………………………( )
2、周长相等的两个圆,它们的面积也一定相等。…………………( )
3、和1%都是分母为100的分数,它们表示的意义完全相同。……( )
4、5千克盐溶解在100千克水中,盐水的含盐率是5%。…………… ( )
5、比的前项增加10%,要使比值不变,后项应乘1.1。…………………( )
三、选择(5分,把正确答案的序号填在括号里)
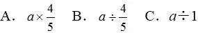
1、若a是非零自然数,下列算式中的计算结果最大的是()。
A. a × B. a÷ C. a ÷ D. ÷a
2、一根绳子剪成两段,第一段长米,第二段占全长的,两段相比( )。
A. 第一段长 B. 第二段长 C. 一样长 D. 无法确定
3、林场去年种植了10000棵树苗,年底抽查了其中的1000棵,死亡率是2%。你预计一下,林场种植的这批树苗的成活率是( )。
A. 20% B. 80% C. 2% D. 98%
4、一个饲养场,养鸭1200只,养的鸡比鸭多,养的鸡比鸭多多少只?正确的列式是( )
A. 1200× B. 1200+1200× C. 1200-1200× D. 1200÷
5、要剪一个面积是12.56平方厘米的圆形纸片,至少需要面积是( )平方厘米的正方形纸片(π取3.14)。
A. 12.56 B. 14 C. 16 D. 20
四、计算题(共35分)
1、直接写出得数5分
÷3= ×15= 2-= 1+2%=
÷= 5÷= ×75% = ×4×=
+×= ×99+99×=
2、解方程9分
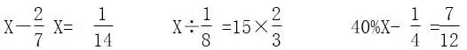
X-X= X÷=15× 40%X-=
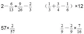
3、下面各题怎样简便就怎样算12分
×-÷ 1-÷-
(+×)÷÷[(+)×2]
4、列综合算式或方程计算6分
1、一个数的20%是100,这个数的是多少? 2、一个数的比20少4,这个数是多少?
五、作图(4分)
在右图中描出下面各点,并依次连接起来:
A(1,0)、B(3,1)、C(1,4)、
D(4,2)、E(7,4).
六、应用题(共31分)
1、只列式不计算(8分):
①王庄煤矿去年产煤250万吨,今年比去年增产25万吨。增产百分之几?
②一本故事书原价20元,现在每本按原价打九折出售。现价多少元?
③修补一批图书,已经修补了30本,是未修补本数的25%。这批图书一共多少本?
④小华爸爸在银行里存入5000元,存定期两年,年利率是2.70%,到期时可以实际得到利息多少元?(免收利息税)
2、完整解答下面的题目(共23分,其中第⑤题3分,其它每题4分):
①红光肥皂厂12月份已经生产肥皂45000箱,还有没有生产。12月份计划生产肥皂多少箱?
②某修路队计划修一条长1200米的路。第一周修了全长的15%,第二周修了全长的。第一周比第二周少修多少米?
③学校里有篮球、足球、排球共180个,已知篮球、足球、排球的比是5:4:3三种球各有多少只?
④鸡兔同笼,有25个头,80条腿,鸡兔各有多少只?
⑤六年级学生报名参加数学兴趣小组,参加的同学是六年级总人数的,后来
有20人参加,这时参加的同学与未参加的人数的比是3∶4。六年级一共有多少人?
.⑥六(1)班共有40人,下面是他们一些最喜欢的饮料的统计图,请问每种饮
料各有多少人喜欢?
参考答案
一、填空(共20分,其中第1题、第2题各2分,其它每空1分)
1、 3 500 7/6 2、 4 5 50 50
3、 10 25 4、 96%
5、 4 4:1 6、 20 24
7、 6:5 8、 20
9、 15/8 8/15 10、 4米 12.56平方米
11、 10 12、正方形等边三角形
二、判断(5分,正确的打“√”,错误的打“×”)
1、× 2、√ 3、× 4、× 5、√
三、选择(5分,把正确答案的序号填在括号里)
1、 B 2、 A 3、 D 4、 A 5、 C
四、计算题(共35分)
1、直接写出得数5分
2/7 9 1又4/7 1.02 5/4 15/2 1 4 1/3 99
2、解方程9分
(1)X=1/10 (2) X=5/4 (3) X=25/12
3、下面各题怎样简便就怎样算12分
(1) 5/4 (2) 1 ( 3 ) 14/15 (4) 4/11
4、列综合算式或方程计算6分
1、 12 2、128/5
五、作图(4分)略
六、应用题(共31分)
1、只列式不计算(8分):
1、 25÷250 2 、 20×90% 3、30÷25%+30 4 、5000×2×2.7%
2、完整解答下面的题目(共23分,其中第⑤题3分,其它每题4分):
1、 75000箱 2、220米 3、篮球75只足球60只排球30只
4、鸡 10只兔15只 5、 210人
6、橙汁12人可乐 8人矿泉水4人牛奶16人
人教版六年级数学上册期末试卷B卷
期末模拟测试卷(1)
1、4.5吨=( )吨( )千克 80分=( )小时。
2、( )∶( )=40/( )=80%=( )÷40
3、( )吨是60吨的1/3,40米比30米多( )%。
4、五(1)班今天出勤46人,有3人因病请假,今天五(1)班学生的出勤率是( )。
5、0.8:0.6的比值是( ),最简整数比是( )
6、某班学生人数在50人到60人之间,男生人数和女生人数的比是4∶5,这个班有男生( )人,女生( )人。
7、从甲城到乙城,货车要行7小时,客车要行8小时,货车的速度与客车的速度的最简比是( )。
8、王师傅的月工资为3000元。按照国家的新税法规定,超过1600元的部分应缴5%个人所得税。王师傅每月实际工资收入是( )元。
9、小红1/5小时行3/8千米,她每小时行( )千米,行2千米要用( )小时。
10、用一根长25.12米的绳子围成一个圆,这个圆的直径是( ),面积是( )。
11、在一块长12分米、宽6分米的长方形铁板上,最多能截取( )个直径是2分米的圆形铁板。
12、请根据图形对称轴的条数从多到少的顺序,在括号里填上适当的图形名称圆、( )、长方形。
1、9米的八分之一与8米的九分之一一样长。( )
2、周长相等的两个圆,它们的面积也一定相等。( )
3、1/100和1%都是分母为100的分数,它们表示的意义完全相同。( )
4、8千克盐溶解在100千克水中,盐水的含盐率是百分之八。( )
5、比的前项增加10%,要使比值不变,后项应乘1.1。( )
1、若b是非零自然数,下列算式中的计算结果最大的是( )。
A、b×5/8 B、b÷5/8 C、b÷3/2 D、3/2÷b
2、一根竹竿截成两段,第一段长3/7米,第二段占全长的3/7,两段相比( )。
A、第一段长 B、第二段长 C、一样长 D、无法确定
3、林场去年种植了20000棵树苗,年底抽查了其中的2000棵,死亡率是2%。你预计一下,林场种植的这批树苗的成活率是( )。A.20% B、80% C、2% D、98%
4、一个饲养场,养鸭1800只,养的鸡比鸭多3/5,养的鸡比鸭多多少只?正确的列式是( )
A、18000×3/5 B、1800 18000×3/5
C、1800-18000×3/5 D、1800÷3/5
5、要剪一个面积是28.26平方厘米的圆形纸片,至少需要面积是( )平方厘米的正方形纸片(π取3.14)。
A、28.26 B、18 C、36 D、28
1、直接写出得数。(10分)
6/7 ÷2= 3/5 ×2/5=3-3/7 =2+2%=6÷2/3 =
1/6 -5/6 ×1/5 = 7/8 ÷7/10 = 4/3 ×75% =
7/8 ×5×8/7 = 1/2 ×88+88×1/2 =
2、解方程。(6分)
X 2/7 X=1/4
X÷8 =1/8×2/3
40%X 1/4 =7/12
3、下面各题怎样简便就怎样算。(12分)
7/2 ×5/8 3/2 ÷8/5 1-5/8 ÷25/28 3/10
(2/3 -4/15 ×5/6)÷20/21 4/5 ÷[(3/5 -1/2 )×2]
4、列综合算式或方程计算。(4分)
(1)一个数的20%是150,这个数的3/5 是多少?
(2)一个数的5/8 比40少6,这个数是多少?
在下图中描出下面各点,并依次连接起来:A(2,0)、B(4,1)、C(1,5)、D(4,6)、E(5,4)

(一)列式计算(6分):
1、王庄煤矿去年产煤280万吨,今年比去年增产28万吨。增产百分之几?
2、一本故事书原价70元,现在每本按原价打九折出售。现价多少元?
3、修补一批图书,已经修补了80本,是未修补本数的25%。这批图书一共多少本?
(二)完整解答下面的题目(共22分):
1、红光肥皂厂10月份已经生产肥皂75000箱,还有2/5没有生产。10月份计划生产肥皂多少箱?
2、修路队计划修一条长1500米的路。第一周修了全长的25%,第二周修了全长的1/3 。第一周比第二周少修多少米?
3、已知一个长方体的棱长和为84cm,长、宽、高的比是3:2:1这个长方体的体积是多少?
4、六(1)班共有40人,下面是他们一些最喜欢的饮料的统计图,请问每种饮
料各有多少人喜欢?

5、两个连在一起的皮带轮,大轮的直径为0.72米,小轮的半径为0.09米,大轮转10周,小轮要转多少周?
6、一个时钟,分针长80厘米,它的尖端转动50分所走的路程是多少?(得数保留一位小数)
7、求出阴影部分的周长和面积。(6分)

8、用42厘米的铁丝围成一个直角三角形,这个三角形长度的比是3:4:5。这个三角形的面积是多少?
模拟测试卷(2)
1、“故事书本数的75%是科技书的本数”这句话把( )看作单位“1”,如果科技书有750本,则故事书有( )本。
2、( )的倒数是1/3,( )是最小的质数的倒数。
3、9÷( )=0.75=( )∶8=( )%。
4、在1.303、
、133%和1.3中,最大的数是( ),最小的数是( )。
5、把0.16∶0.8化成最简整数比是(∶)。
6、修一条小路,3天修了这条路的1/4,照这样计算修完这条路需( )天。
7、李明计划做100道数学题,实际做了113道,相当于计划的( )%。
8、甲车从A地到B地用30分钟,乙车从A地到B地用40分钟,甲乙两车的速度比是( )。
9、把9/10米长的铁丝平均分成3段,每段长( )米,每段占全长的( )。
10、小明从保定到长春去看姑妈,乘火车要14个小时。他5月1日19∶00乘火车出发,5月( )日( )时到达长春。
11、半径为4厘米的圆比直径为6厘米的圆的周长多( )厘米。
12、某市出租车的起步价是5元(路程在3千米以内的均收费5元),超过3千米的按每千米1.5元收费。王老师坐出租车行了5/2千米,应付( )元,如果行了5千米,应付( )元。
13、一根铁丝正好围成一个半径4分米的圆,如果把这根铁丝围成一个正方形,这个正方形的面积是( )平方分米。
1、若圆的直径和正方形的边长相等,那么圆的面积较大。( )
2、5千克盐溶解在95千克水中,盐水的含盐率是5%。( )
3、比的前项增加10%,要使比值不变,后项应乘1.1。( )
4、平行四边形一定不是轴对称图形。( )
5、一堆煤的1/2比这堆煤的1/3多3吨,这堆煤有18吨。( )
1、在200克盐水中,含盐40克,盐与水的比是( )。
A、1∶6 B、1∶5 C、1∶4
2、一个半径为r的半圆形花池,它的周长是( )。

3、a是非0自然数,下面算式中( )得数最大。

4、一种商品,先降价10%后,又涨价10%,结果价格是原价的( )。
A、90% B、99% C、110%
5、修一段10千米的路,甲队单独修要8天,乙队单独修要12天。现在两队合修需要几天完成?下面的解答方法中,( )是错误的。

1、脱式计算,能简算的要写出简算过程。(12分)

2、解方程。(6分)

3、列式计算。(6分)
(1)一个数的75%是105的3/5,这个数是多少?
(2)甲数的1/3是36,乙数是36的1/4,甲数比乙数多多少?
1、画出下面每组图形的所有对称轴。(6分)

2、城市广场有个圆形的喷泉,量得周长是37.68米,这个喷泉占地面积是多少平方米?(4分)
1、某班有学生45人,男生人数和女生人数的比是5∶4。男生有多少人,女生有多少人?(5分)
2、六(1)班有学生50人,某一天有1人请事假,2人请病假。这个班当天的出勤率是多少?(5分)
3、一杯100克的盐水中,有盐4克,现在要使这杯盐水含盐率变为8%,需蒸发多少克水?(5分)
4、人民商场一月份的营业额是300万元,照这样算,如果按营业额的5%缴纳营业税,该商场一年要缴纳营业税多少元?(5分)
5、阅读下面材料,解答问题。(10分)
你知道热带雨林吗?它像一条环绕地球的绿色项链,源源不断地供给着所有生物赖以生存的氧气。所以被人们称为——“地球之肺”。亚马逊平原是世界上最大的热带雨林区,占地球上热带雨林总面积的50%,达65O万平方千米;热带雨林贮蓄的淡水约为70万立方千米,约占地表淡水总量的23%;地球上约1000万个物种中,约有350万种都生存于热带雨林中。亚马逊热带雨林中每平方千米不同种类的植物达12OO多种,地球上动植物的1/5都生长在这里。由于人们的破坏性砍伐,热带雨林正以每分钟约50公顷的速度消失,科学家估计,十几年后,至少将有50-80万种动植物种灭绝。如果继续这样砍伐下去,到2020年热带雨林将有80%从地球上消失。
——摘自联合国《20世纪环境警示录》
(1)地球上热带雨林总面积是多少万平方千米?(3分)
(2)如果不注意保护,到2020年大约将会有多少热带雨林从地球上消失?(3分)
(3)从上面数据中再提出一个数学问题并解答。(4分)
模拟测试卷(3)
1、读下面的资料,按要求填空:
我国人口占世界总人口的22%,人均耕地面积只有世界人均耕地面积的2/5,森林覆盖率只有全球平均水平的百分之六十七,属于土地资源相对短缺的国家。
(1)找出百分数并读出来或写出来()()
(2)人均耕地面积只有世界人均耕地面积的()%
(3)“森林覆盖率只有全球平均水平的百分之六十七”这句话的意思是
( )
2、0.25的倒数是(),7/8的倒数是()。
3、1/20:0.125的比值是(),化成最简整数比是()
4、在()里填上“>”、“<”

5、0.6=15/()=():40=()%
6、120吨的5/6是(),()米的5/9是5/8米。
7、从一个边长是10分米的正方形纸里剪一个最大的圆,这个圆的周长是()分米。
8、王东坐在教室的第3列第2行,用(3,2)表示,王军坐在王东正后方的第一个位置上,王军的位置是()
9、一段路程,甲走完要5分钟,乙走完要8分钟,甲、乙两人的速度比是()
10、小红在小明的东偏北45º方向上,那么小明在小红的()方向上。
11、小红2/3小时走4千米,她每小时走()千米,她走1千米平均用()小时。
12、1 3 5 7 9 11 13=()²
1、白兔和黑兔的只数比是4:5,表示白兔比黑兔少1/5.( )
2、一个数的倒数一定比这个数小。()
3、一个不为零的自然数除以1/5,这个数就扩大5倍。()
4、小明做了99道口算题,全部正确,正确率是99%。()
5、一个圆的半径扩大3倍,它的面积扩大9倍。()
1、在一个三角形中,三个内角度数的比是1:2:3,这个三角形是( )
A、锐角三角形 B、直角三角形 C、钝角三角形
2、在8:9中,如果前项增加16,要使比值不变,后项应( )
A、乘3 B、增加16 C、不变 D、无法确定
3、甲比乙多1/5,则乙比甲少( )
A、1/5 B、1/6 C、1/4 D、无法确定
4、正确的列式是( )(题目不完整)

5、周长相等的正方形、长方形和圆形,( )面积最大,( )面积最小
A、正方形 B、长方形 C、圆形
1、口算(8分)

2、能简算的简算(12分)

3、解方程(6分)
X-15%X=37.4 X÷2=7/16
1、请您设计一幅美丽的对称图形,对称图形占长方形的20%(2分)

2、

1、美术小组男生有20人,___________,女生有多少人?
(1)女生人数比男生人数多1/4;
(2)女生是男生人数的5/4;
(3)男生人数与女生人数的比是4:5。请选择一个条件的番号填在横线上并解答。(4分)
2、小红家原来每月用水10吨,更换了节水龙头后每月用水9吨,现在每月用水比原来节约了百分之几?(4分)
3、沿一座半径为4米的圆形花坛外侧铺一条宽2米的小路。这条小路的面积是多少平方米?(4分)
4、学校会议室的桌子如下图所示,要想给桌子围一圈木边,需要木条多少米长?要给桌面贴上保护膜,需保护膜多少平方米?(π取3.14)

5、六年级学生进行一次“我最喜欢的文艺节目”小调查,统计如下图(6分)

(1)已知喜欢小品的有40人,六年级有多少人?(3分)
(2)请提出一个用百分数解决的问题,并对问题进行解答。(3分)
模拟测试卷(4)
1、( )吨是30吨的1/3,50米比40米多( )%。( )的20%是250。
2、六(1)班今天出勤48人,有2人因病请假,今天六(1)班学生的出勤率是( )。
3、( )∶8=()/4=0.75=15∶( )
4、小红15小时行38千米,她每小时行( )千米,行1千米要用( )小时。
5、用一根长12.56米的绳子围成一个圆,这个圆的直径是( ),面积是( )。
6、把3.5%化成分数是( ),把3/8化成百分数是( )。
7、一箱橘子3/4卖出,正好是12千克,这箱橘子重( )千克。
(1)比的前项和后项都增加或减少相同的数,比值不变。( )
(2)如果大圆和小圆的半径比是5:1,面积和周长的比都是25:1( )
(3)生产105个零件,全部合格,合格率是100%。( )
(4)甲数比乙数多1/4,甲数与乙数的比是1:4。( )
(5)今年小麦喜获丰收,总产量比去年增加10%万吨。( )
1、把7.9%的百分号去掉,这个数与原数相比( )
A、大小不变 B、扩大到原来的100倍 C、缩小到原来的1/100
2、王红的体重比李云的体重重2/3 ,那么王红的体重是李云的( )
A、5/3 B、2/5 C、3/5
3、把25克盐放入100克水中,盐和盐水的比是( )
A、1:5 B、1:4 C、4:1
4、一台电视机先涨价10%,再降价10%,这台电视机现在的售价与原价相比( )
A、提高了 B、降低了 C、不变
1、直接写出得数(10分)

2、解方程(12分)

3、下面各题怎样简便就怎样算(12分)
单位:cm

1、王庄煤矿去年产煤250万吨,今年比去年增产25万吨。增产百分之几?
2、用电脑打一份稿件,甲单独打需8小时,乙单独打需10小时,现在甲乙两人合作,几小时完成这份稿件的 ?
3、、红光肥皂厂12月份已经生产肥皂45000箱,还有25 没有生产。12月份计划生产肥皂多少箱?
4、修路队计划修一条长1200米的路。第一周修了全长的15%,第二周修了全长的13 。第一周比第二周少修多少米?
5、张伯伯要为水稻配制一种药水,药液和水质量比是1:500,现在有药液1.2kg,能配制成多少千克药水?
6、六(1)班共有40人,下面是他们一些最喜欢的饮料的统计图,请问每种饮料各有多少人喜欢?

模拟测试卷(5)
1、4/5千米=( )米 45分=( )时
2、种了200棵树苗,死了6棵,这批树苗的成活率是( )%。
3、一袋糖重2/5千克,平均分成4份,每份是这袋糖重的( / ),每份糖重( )千克。
4、0.25的倒数是( ),( )的倒数是它本身。
5、比18米少1/6是( )米,60千克比()千克多1/4。
6、一项工程,每天完成它的1/6,3天完成这项工程的( ),( )天可以完成这项工程。
7、在○内填上“>”“<”或“=”

8、( ):( )==( )÷15=( )%=( )(填小数)
9、20㎏:0.2t的比值是(),最简单的整数比是( ):( )。
10、一个半径是3㎝的圆,它的周长是( )㎝面积是( )平方厘米。
11、鸡的只数比鸭的只数多,是把( )的只数看作单位“1”。
1、得数是1的两个数互为倒数。( )
2、一个数(0除外)乘以一个真分数,积一定比原数小。( )
3、用4个圆心角都是90°的扇形,一定可以拼成一个圆。( )
4、甲数的90%一定大于乙数的80%。( )
5、一周的天气变化情况最好扇形统计图表示。( )
1、现在价格比原来降低了15%,现在价格是原价的( )。
A、15% B、115% C、85%
2、一个圆的半径扩大3倍,面积扩大( )倍。
A、3 B、9 C、6
3、把20克盐溶解在100克水中,盐和盐水的最简整数比是( )。
A、20:100 B、1:5 C1:6
4、两根都是1米的绳子,第一根剪去1/2,第二根剪去 1/2米,剩下的绳子( )。
A、第一根长 B、第二根长 C、一样长 D、无法确定
5、下面图形中对称轴最少的是( )。
A正方形 B、圆形 C、等边三角形 D、长方形
6、王师傅5分钟做一个零件,李师傅6分钟做一个零件,王师傅与李师傅工作效率的比是( )
A、6:5 B、5:6 C、1/5:1/6
1、直接写出得数。(5分)

2、解方程。6分

3、脱式计算(能简算的要简算)(8分)

1、一个数的 等于30的40%。这个数是多少?
2、甲数是27,比乙数的40%多5,乙数是多少?
下面每个方格都表示1平方厘米。
1、点o的位置可表示为(5 ,4)。
2、画出以点 o为圆心,半径为3厘米的圆。
3、找到并标出A(2,4)点A与B连接后,AB正好是圆的直径,点B( , )。
4、点C在圆周上并且到点A、B的距离都相等。点C的位置在( , )或( , )。并过点C画一条对称轴。

1、小红家原来每月用水约10t,现在更换节水龙头后每月用水约9t,每月比原来节约了百分之几?
2、小明读一本故事书第一天读了76页,还剩全书的 没有读,这本故事书多少页?
3、三个同学跳绳。小明跳了120个,小强跳的是小明的 ,小亮跳的是小强的 。小亮跳了多少个?
4、狮子奔跑时的最高时速可以达到60千米/小时,比猎豹慢 。猎豹奔跑时的最高时速是多少?
5、学校航模小组和美术小组共有45人,美术小组的人数是模小组的 。学校航模小组和美术小组分别有多少人?
6、搅拌混凝士,水泥、沙子和石子的比是2:3:5现在要搅拌20t混凝士,需要水泥、沙子和石子各多少吨?
7、笑笑家9月份总支出2000元,下面是笑笑家9月份家庭各项支出情况统计图。

①你从这幅图中了解到哪些信息?
②你能根据了解到的信息提出一个有价值的问题吗?并解答。(两步计算以上的)
人教版六年级数学上册期末统考试卷(精品复习题)打包下载

下载地址:
https://pan.baidu.com/s/1bJDwe4H5fScV8BUCdNj3Tw

图文来自网络,版权归原作者,如有不妥,告知即删
点击阅读原文下载全册PPT课件动画教案习题整套资料