考点1 光的折射、折射率
第1题(2025·广东卷·4)如图2为测量某种玻璃折射率的光路图.某单色光从空气垂直射入顶角为α的玻璃棱镜,出射光相对于入射光的偏转角为β,该折射率为( )
【答案】A
【考查知识点】折射定律的应用。
第2题(2022·海南卷·3)如图为一用透明材料做成的中心是空的球,其中空心部分半径与球的半径之比为1:3。当细光束以的入射角射入球中,其折射光线刚好与内壁相切,则该透明材料的折射率为( )

【答案】B
【考查知识点】折射定律的应用。
考点二:全反射
【答案】 C
【考查知识点】全反射临界角的判断。
第4题(2024·浙江6月选考)
如图为水流导光实验,出水口受激光照射,下面桶中的水被照亮,则( )

A.激光在水和空气中速度相同
B.激光在水流中有全反射现象
C.水在空中做匀速率曲线运动
D.水在水平方向做匀加速运动
【答案】 B
【考查知识点】全反射现象的实际应用。水流导光的原理是光在水中射到水与空气分界面时入射角大于临界角,发生全反射,光被约束在水流中传播。
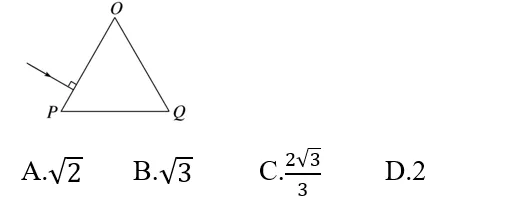
第5题(2024·海南卷·4)一正三角形OPQ玻璃砖,某束光线垂直从OP射入,恰好在PQ界面发生全反射,则玻璃砖的折射率为( )
【答案】C
【考查知识点】全反射临界角的计算。
考点三:光的折射和全反射的综合应用
第6题(2021·辽宁卷·4)一束复色光从空气射入光导纤维后分成a、b两束单色光,光路如图所示,比较内芯中的a、b两束光,a光的( )

A.频率小,发生全反射的临界角小
B.频率大,发生全反射的临界角小
C.频率小,发生全反射的临界角大
D.频率大,发生全反射的临界角大
【答案】C
【考查知识点】几何光学与全反射综合。根据折射定律和几何关系,找出光线在BC边的入射角等于临界角的条件,结合几何关系求解。
第8题(2024·广东卷·6)如图所示,红绿两束单色光,同时从空气中沿同一路径以θ角从MN面射入某长方体透明均匀介质。折射光束在NP面发生全反射。反射光射向PQ面。若θ逐渐增大。两束光在NP面上的全反射现象会先后消失。已知在该介质中红光的折射率小于绿光的折射率。下列说法正确的是()

A.在PQ面上,红光比绿光更靠近P点
B.θ逐渐增大时,红光的全反射现象先消失
C.θ逐渐增大时,入射光可能在MN面发生全反射
D.θ逐渐减小时,两束光在MN面折射的折射角逐渐增大
【答案】B
【考查知识点】折射与全反射综合,不同频率光的比较。红光的折射率小,在NP面入射角较小,全反射临界角较大,所以红光先消失。
考点四:光的干涉
第9题(2025·山东·3)
用如图所示的装置观察光的干涉和偏振现象。狭缝S1、S2关于OO'轴对称,光屏垂直于OO'轴放置。将偏振片P1垂直于OO'轴置于双缝左侧,单色平行光沿OO'轴方向入射,在屏上观察到干涉条纹,再将偏振片P2置于双缝右侧,P1、P2透振方向平行.保持P1不动,将P2绕OO'轴转动90°的过程中,关于光屏上的干涉条纹,下列说法正确的是( )

A.条纹间距不变,亮度减小
B.条纹间距增大,亮度不变
C.条纹间距减小,亮度减小
D.条纹间距不变,亮度增大
【答案】A
【考查知识点】双缝干涉条纹间距公式Δx=Lλ/d,与光的强度无关;偏振片旋转时,透过光强变化,干涉条纹亮度随之变化。
第10题(多选)(2024·广西卷·9)如图,S为单色光源,S发出的光一部分直接照在光屏上,一部分通过平面镜反射到光屏上。从平面镜反射的光相当于S在平面镜中的虚像发出的,由此形成了两个相干光源。设光源S到平面镜和到光屏的距离分别为a和l,a≪l,镜面与光屏垂直,单色光波长为λ。下列说法正确的是()

A.光屏上相邻两条亮条纹的中心间距为λ
B.光屏上相邻两条暗条纹的中心间距为λ
C.若将整套装置完全浸入折射率为n的蔗糖溶液中此时单色光的波长变为nλ
D.若将整套装置完全浸入某种透明溶液中,光屏上相邻两条亮条纹的中心间距为Δx,则该液体的折射率为λ
【答案】AD
【考查知识点】双缝干涉条纹间距公式。不同频率的光不能发生干涉;由Δx=Lλ/d,蓝光波长较短,条纹间距较小。
第11题(2023·北京卷)
阳光下的肥皂膜呈现彩色条纹,这种现象属于光的( )
A. 偏振现象B. 衍射现象
C. 干涉现象D. 全反射现象
【答案】 C
【考查知识点】薄膜干涉现象。肥皂膜前后表面反射的光发生干涉,由于白光中含有不同波长的光,干涉条纹呈现彩色。
考点五:光的衍射和偏振
第12题(2025·北京卷)
下列现象属于光的衍射的是( )
A.雨后天空出现彩虹
B.通过一条狭缝看日光灯观察到彩色条纹
C.肥皂膜在日光照射下呈现彩色
D.水中的气泡看上去特别明亮
【答案】 B
【考查知识点】光的衍射现象与其它光学现象的区分。A是色散,B是衍射,C是薄膜干涉,D是全反射。
第13题(2022·北京卷)
下列现象能说明光是横波的是( )
A. 光的衍射现象
B. 光的折射现象
C. 光的偏振现象
D. 光的干涉现象
【答案】 C
【考查知识点】光的偏振与横波的关系。只有横波才有偏振现象,光的偏振现象说明光是横波。
第14题(2024·上海卷)
1.在“用双缝干涉实验测量光的波长”的实验中,双缝间距为d,双缝到光强分布传感器距离为L。(1)实验时测得N条暗条纹间距为D,则激光器发出的光波波长为。
(2)在激光器和双缝之间加入一个与光束垂直放置的偏振片,测得的干涉条纹间距与不加偏振片时相比。
A.增加 B.不变 C.减小
(3)移去偏振片,将双缝换成单缝,能使单缝衍射中央亮纹宽度增大的操作有(多选)
A.减小缝宽
B.使单缝靠近传感器
C.增大缝宽
D.使单缝远离传感器
【答案】(1)B (2)B (3)AD
【考查知识点】偏振对干涉的影响。偏振片只改变光的强度,不改变波长,因此干涉条纹间距不变。
考点六:几何光学与物理光学的综合应用
第15题(2024·浙江1月选考)(多选)
下列说法正确的是( )
A.相同温度下,黑体吸收能力最强,但辐射能力最弱
B.具有相同动能的中子和电子,其德布罗意波长相同
C.电磁场是真实存在的物质,电磁波具有动量和能量
D.自然光经玻璃表面反射后,透过偏振片观察,转动偏振片时可观察到明暗变化
【答案】 CD
【考查知识点】光学综合知识。黑体吸收和辐射能力都最强;德布罗意波长λ=h/p,动能相同但质量不同则动量不同;反射光为偏振光。
第16题(2020·浙江1月选考·15)(多选)如图所示,波长为λa和λb的两种单色光射入三棱镜,经折射后射出两束单色光a和b,则这两束光( )

【答案】BD
考点七:实验——测定玻璃的折射率
第17题(2024·浙江卷)
如图所示,用“插针法”测量一等腰三角形玻璃砖的折射率。
①在白纸上画一条直线ab,并画出其垂线cd,交于O点;
②将侧面A沿ab放置,并确定侧面B的位置ef;
③在cd上竖直插上大头针P₁和P₂,从侧面B透过玻璃砖观察P₁和P₂,插上大头针P₃,要求P₃能挡住______的虚像;
④确定出射光线的位置______(选填“需要”或“不需要”)第四枚大头针;
⑤撤去玻璃砖,测得出射光线与直线ef的夹角为α,则玻璃砖折射率n=______。
【答案】③P₁和P₂;④不需要;⑤n=sinα/sin(θ-α)(θ为顶角)
【考查知识点】插针法测折射率的原理和操作。光垂直入射时方向不变,只需找到出射光线即可确定折射光线。
第18题(2024·湖北卷·11)某同学利用激光测量半圆柱体玻璃砖的折射率,具体步骤如下:

①平铺白纸,用铅笔画两条互相垂直的直线AA′和BB′,交点为O。将半圆柱体玻璃砖的平直边紧贴AA′,并使其圆心位于O点,画出玻璃砖的半圆弧轮廓线,如图(a)所示。
②将一细激光束沿CO方向以某一入射角射入玻璃砖,记录折射光线与半圆弧的交点M。
③拿走玻璃砖,标记CO光线与半圆弧的交点P。
④分别过M、P作BB′的垂线MM′、PP′,M′、P′是垂足,并用米尺分别测量MM′、PP′的长度x和y。
⑤改变入射角,重复步骤②③④,得到多组x和y的数据。根据这些数据作出y-x图像,如图(b)所示。
(1)关于该实验,下列说法正确的是__________(单选,填标号)。
A.入射角越小,误差越小
B.激光的平行度好,比用插针法测量更有利于减小误差
C.选择圆心O点作为入射点,是因为此处的折射现象最明显
(2)根据y-x图像,可得玻璃砖的折射率为____________(保留三位有效数字)。
(3)若描画的半圆弧轮廓线半径略大于玻璃砖的实际半径,则折射率的测量结果____________(填“偏大”“偏小”或“不变”)。
【答案】(1)B (2)1.57 (3)不变
【考查知识点】激光测量折射率的实验原理。通过测量入射光线和折射光线在垂直于界面方向上的投影长度,利用几何关系求折射率。
考点八:实验——用双缝干涉测光的波长
第19题(2024·江西卷)(多选)某同学用普通光源进行双缝干涉测光的波长实验。下列说法正确的是( )
A.光具座上依次摆放光源、透镜、滤光片、双缝、单缝、遮光筒、测量头等元件
B.透镜的作用是使光更集中
C.单缝的作用是获得线光源
D.双缝间距越小,测量头中观察到的条纹数目越多
【答案】 BC
【考查知识点】双缝干涉实验的仪器安装顺序和元件作用。正确顺序:光源→透镜→滤光片→单缝→双缝→遮光筒→测量头。单缝获得线光源,双缝间距越小,条纹间距越大,条纹数目越少。
第20题(2024·河北卷)
某同学通过双缝干涉实验测量单色光的波长。分别用红色、绿色滤光片,对干涉条纹进行测量,并记录第一条和第六条亮纹中心位置对应的游标尺读数。
单色光类别 | X1/mm | X6/mm |
单色光1 | 10.60 | 18.64 |
单色光2 | 8.44 | 18.08 |
根据表中数据,判断单色光1为______(填“红光”或“绿光”)。
【答案】绿光
【考查知识点】双缝干涉条纹间距与波长的关系。条纹间距Δx=Lλ/d,波长越长间距越大。通过测量数据计算条纹间距,间距小的对应绿光(波长较短)。
下载链接:
通过网盘分享的文件:光学典型题.docx
链接: https://pan.baidu.com/s/1wxr_48k-Z54TA122_smmAA?pwd=1234 提取码: 1234