于高山之巅,方见大河奔涌;
于群峰之上,更觉长风浩荡。
关注抖音·小红书·快手:高考数学郭伟
答疑·课程·教辅联系微信:MathG678
郭伟,华辰高考研究院院长,高考数学解题研究系列总主编,主编《高考数学解题新体系》《高一培优新思路》《高二培优新思路》《高考数学解题140招》《超级母题》《导数压轴全技法》《圆锥曲线全技法》等,近年来所带学生平均分达到135分以上,优秀考生达到140分以上,学生90%以上升入“双一流”大学,众多学生考入清华大学、北京大学、复旦大学、中科大(少年班)等知名学府.
《高考数学清北提分全程班、导数班、圆曲班》系统课程,全题型全方法,讲透解题的底层逻辑,全程一对一答疑!























明
天
更
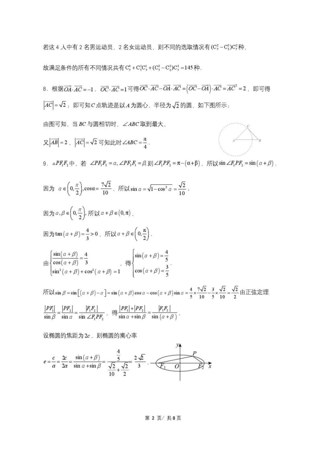
好






















































































更多精彩内容
1.关注微信公众号:高考数学解题研究
2.关注抖音/哔哩哔哩/小红书/快手:高考数学郭伟
详情咨询微信号:MathG678
《高考数学解题研究》
师生都在用的高考题型、方法、技巧总结全书
将高考各类题型方法一网打尽,适合培优
详情咨询微信号:MathG678
郭伟数学精品课程
课程内容全面,体系完整,专题精讲
适合考生备战高考,高效提分
详情咨询微信号:MathG678