当前位置:首页>考研真题>全国铁路线路工技能竞赛备选试卷(2026版·4)

全国铁路线路工技能竞赛备选试卷(2026版·4)

  • 2026-05-25 08:28:49
全国铁路线路工技能竞赛备选试卷(2026版·4)

工种 ________ 考生编号 ________ 姓名 ________ 单位 ________

装订线


一、填空题(每空1分,共10分)

  1. 施工地段放行列车时,轨道静态几何尺寸偏差不得超过( 经常保养 )(速度υ~max~=120 km/h)容许偏差管理值。

  2. 普速铁路维修天窗:双线不应少于( 120 )分钟,单线不应少于( 90 )分钟。

  3. 驻站联络员要随时与现场防护员保持联系,如联系中断,现场防护员应立即通知( 施工负责人 )停止作业,必要时将线路恢复到准许放行列车的状态。

  4. 作业中如出现轨向、高低不良,起道、拨道省力,枕端道砟离缝等胀轨迹象时,必须( 停止作业 ),并及时采取防胀措施。

  5. 工务设备管理单位的安全监护人员发现施工单位在施工作业中危及行车安全时,必须果断采取( 限速或封锁线路 )措施,并责令其停工,填发“( 营业线施工停工通知书 )”。

  6. 《普速铁路线路修理规则》规定,轨底处道床顶面应低于轨枕顶面( 20~30 )mm。

  7. 非同类轨枕不得混铺。混凝土枕与木枕的分界处距钢轨接头不得少于( 5 )根轨枕。

  8. 弹条扣件的弹条中部前端下颚应靠贴轨距挡板(离缝不大于1mm)或扭矩应保持在( 80~150 )N·m。

  9. 复曲线每个圆曲线的长度不得短于( 50 )m,其超高应在正矢递减范围内,从较大超高向较小超高均匀顺坡。

  10. 普速铁路设计速度120km/h以上正线有砟轨道应采用( Ⅲ型轨枕 )和与轨枕配套的弹条扣件、一级碎石道砟。


二、单选题(每题2分,共20分)

  1. 普速铁路在线间距不足6.5 m地段施工维修而邻线行车时,邻线列车应限速( D )km/h及以下,并按规定设置防护。A. 100 B. 120 C. 140 D. 160

  2. 无缝线路胀轨跑道处理,采用乙炔切割或烧孔的钢轨,必须在( C )小时内更换。在更换前应派人昼夜监视,限速不超过45km/h。A. 2 B. 6 C. 24 D. 48

  3. 作业人员下道避车时,160km/h<υ~max~≤200km/h线路,距钢轨头部外侧距离不小于( B )m。(根据《普速铁路工务安全规则》第3.2.3条,统一为2m)A. 1.0 B. 2.0 C. 2.5 D. 3.0

  4. 《普速铁路工务安全规则》规定,绕行停留车辆时其距离应不少于( A )m,并注意车辆动态和邻线上开来的列车。A. 5 B. 5.5 C. 6 D. 6.5

  5. 沿线工务人员发现线路设备故障危及行车安全时,应立即( D ),还应迅速通知就近车站和工长或车间主任,并采取紧急措施修复故障设备;如不能立即修复时,应封锁区间或限速运行。A. 连续发出警报信号 B. 以移动停车信号牌防护C. 以停车手信号防护 D. 连续发出警报信号和以停车手信号防护

  6. 允许速度不超过160km/h的线路,钢轨顶面上有长大于50mm、深大于10mm的掉块时,应判为( C )。A. 重伤 B. 轻伤 C. 折断 D. 核伤

  7. 某旅客列车(非动车组)最高运行速度为140km/h,其紧急制动距离限值为( B )m。A. 800 B. 1100 C. 1400 D. 2000

  8. 道床一般清筛枕盒清筛深度为枕底向下( B )mm,并做好排水坡;边坡清筛为轨枕头外全部道砟,宜使用边坡清筛机施工。A. 25~50 B. 50~100 C. 75~100 D. 50~150

  9. 调高垫板应垫在轨底与橡胶垫板之间,每处调高垫板不得超过2块,总厚度不得超过( C )。A. 8mm B. 12mm C. 10mm D. 15mm

  10. 无缝线路应力放散时,应每隔( B )m设一位移观测点观测钢轨位移量。A. 25~50 B. 50~100 C. 75~100 D. 50~150


三、多选题(每题3分,共15分;选对部分得1分,选错不得分)

  1. 关于道岔侧向允许通过速度,描述正确的是( C、E )A. 8号道岔不超过30km/h B. 9号道岔不超过40km/hC. 12号道岔不超过45km/h D. 30号道岔不超过120km/hE. 38号道岔不超过140km/h

  2. 大型养路机械在无缝线路地段作业时,作业轨温条件为( A、C、D )A. 一次起道量小于30mm,一次拨道量小于10mm时,作业轨温不得超过实际锁定轨温±20℃B. 一次起道量小于30mm,一次拨道量小于10mm时,作业轨温不得超过实际锁定轨温+20℃C. 一次起道量在31~50mm,一次拨道量在11~20mm时,作业轨温不得超过实际锁定轨温-20℃~+15℃D. 在高温季节作业时,作业中机组人员应监视线路状况,发现胀轨迹象应立即停止作业E. 一次起道量在31~50mm,一次拨道量在11~20mm时,作业轨温不得超过实际锁定轨温+15℃

  3. 线路大、中修工程主要图表有( A、B、C、D、E )A. 纵断面设计图 B. 平面拨量表 C. 曲线表D. 水准基点表 E. 各项工程数量表

  4. 对轨道动态检查中理解正确的是( B、C、E )A. TQI指数是轨检车对每公里线路质量的综合评价,项目为轨距、水平、高低、轨向、三角坑、车体垂向振动加速度和横向振动加速度七项B. 《修规》中的轨道动态质量容许偏差限值是实际幅值的半峰值C. 各项偏差等级划分为四级:Ⅰ级为保养标准,Ⅱ级为舒适度标准,Ⅲ级为临时补修标准,Ⅳ级为限速标准D. 三角坑限值不包含缓和曲线超高顺坡造成的扭曲量E. 水平限值不含曲线上按规定设置的超高值及超高顺坡量

  5. 线路综合维修验收评分描述正确的是( A、D、E )A. 满分为100分 B. 100~80分为优良 C. 80(不含)~60分为合格D. 60分以下为失格 E. 失格线路整修复验后,在60分及以上者为合格


四、判断题(每题1分,共10分;正确打“√”,错误打“×”)

  1. 钢轨、辙叉或夹板折断后的紧急处理应办理临时封锁施工手续,设置停车手信号防护。 (  )

  2. 在线路上焊接时气温不应低于5℃。放行列车时,焊缝温度应低于300℃。 ( × )(正确应为:气温不低于0℃)

  3. 竖曲线不得与竖曲线、圆曲线重叠,不得侵入道岔及无砟桥梁上。 ( × )(应为“不得与缓和曲线重叠”,且“无砟桥梁”应为“明桥面”)

  4. 可动心轨辙叉道岔的垫板作业,可采用调换不同厚度轨下垫板的方法进行。垫板数量不应超过2块,厚度不应超过10mm。 ( × )(垫板数量不应超过1块,厚度不应超过6mm)

  5. 《普速铁路线路修理规则》规定,对无缝线路轨条位移,每季应观测1次。 ( × )(应为每半年观测1次,春、秋季各1次)

  6. 工务段(或由工务段通知管内施工的责任单位)应对轨检车查出的Ⅲ级超限处所及时处理,对查出的Ⅳ级超限处所立即限制行车速度并及时处理。 (  )

  7. 接头螺栓扭矩扳手和扣件扭矩扳手每年应至少检定1次,容许误差不得大于4%。 (  )

  8. 双线区间υ≤120km/h的线路,直线部分线间最小距离为4200mm。 ( × )(应为4000mm)

  9. 《铁路技术管理规程》规定,施工防护的设置与撤除,由工班长决定。 ( × )(应由施工负责人决定)

  10. 警冲标设在两会合线路线间距离为4.5m的中间。如不足4.5m则设在中心线最大间距的起点处。 ( × )(应为4m)


五、简答题(每题5分,共10分)

1. 线路、道岔临时补修包括哪些主要内容?

答:① 整修轨道几何尺寸超过临时补修容许偏差管理值的处所。② 更换(或处理)折断、重伤钢轨及桥上、隧道内轻伤钢轨。③ 更换达到更换标准的伤损夹板,更换折断的接头螺栓、道岔护轨螺栓、可动心轨凸缘与接头铁联结螺栓、可动心轨咽喉和叉后间隔铁螺栓、长心轨与短心轨联结螺栓、钢枕立柱螺栓等。④ 调整严重不良轨缝。⑤ 疏通严重淤塞的排水设备,处理严重冲刷的路肩和道床。⑥ 整修严重不良的道口设备。⑦ 其他需要临时补修的工作。

2. 无缝道岔应满足哪些技术要求?

答:① 可动心轨无缝道岔的钢轨接头除绝缘接头采用胶接绝缘接头外,其余接头应全部焊接;固定型道岔除绝缘接头采用胶接绝缘接头,辙叉前后4个接头及曲股接头可采用冻结接头外,其余接头应全部焊接。固定型辙叉接头冻结应采用高强螺栓,扭矩应保持1100~1400N·m。② 导轨、辙叉、心轨、翼轨的扣件扭矩应保持120~150N·m;尖轨及其前后各25m范围内的基本轨扣件扭矩应保持在60~80N·m。③ 道床保持饱满,扣件保持紧固状态,达到轨下基础稳定、纵向无爬行、横向无横移。④ 加强可动心轨道岔的心轨与翼轨锁定,以及联结件、钢轨接头螺栓的养护和紧固,防止尖轨爬行相错。


六、综合题(共15分)

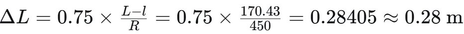
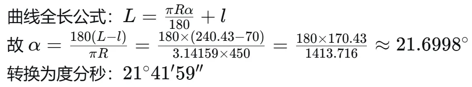
已知某曲线,设计曲线全长L=240.43m,曲线半径R=450m,缓和曲线长l~1~=l~2~=70m。试计算曲线转角、外股钢轨伸长量,并用从曲中分点的方法在下图中标出外股钢轨上五大桩的位置。(转角用“°′″”表示;曲线每10m设置一个测点,起点号数为1点,图示标出五大桩相邻测点号数及距离)

解:

  • 计算曲线转角α

  • 计算外股钢轨伸长量ΔL

标出五大桩位置(从曲中分点)曲线中点(QZ)位于全长一半处。从QZ向两侧对称分配缓和曲线和圆曲线。测点间距为10m,但按曲中分点法,两端缓和曲线各70m,圆曲线长 。

各控制点对应的测点号及相邻点间距如下图所示(距离单位为m):

  • 1

    2

    8

    9

    13

    14

    18

    19

    25

    26

    ZH

    HY

    QZ

    YH

    HZ

    4.645

    5.355

    4.645

    5.355

    5.00

    5.00

    5.355

    4.645

    5.355

    4.645

说明:ZH(直缓点)位于1号测点,HY(缓圆点)位于8号测点,QZ(曲中点)位于13号测点,YH(圆缓点)位于18号测点,HZ(缓直点)位于26号测点。各相邻测点间的距离已标注。

答: 曲线转角为 214159,外股钢轨伸长量为0.28m,五大桩位置如上图所示。

最新文章

随机文章

基本 文件 流程 错误 SQL 调试
  1. 请求信息 : 2026-05-27 07:16:00 HTTP/2.0 GET : https://www.sjds.net/a/473440.html
  2. 运行时间 : 0.170475s [ 吞吐率:5.87req/s ] 内存消耗:4,589.31kb 文件加载:140
  3. 缓存信息 : 0 reads,0 writes
  4. 会话信息 : SESSION_ID=f0b91d657c8ecdd7c86016706928e053
  1. /yingpanguazai/ssd/ssd1/www/www.sjds.net/public/index.php ( 0.79 KB )
  2. /yingpanguazai/ssd/ssd1/www/www.sjds.net/vendor/autoload.php ( 0.17 KB )
  3. /yingpanguazai/ssd/ssd1/www/www.sjds.net/vendor/composer/autoload_real.php ( 2.49 KB )
  4. /yingpanguazai/ssd/ssd1/www/www.sjds.net/vendor/composer/platform_check.php ( 0.90 KB )
  5. /yingpanguazai/ssd/ssd1/www/www.sjds.net/vendor/composer/ClassLoader.php ( 14.03 KB )
  6. /yingpanguazai/ssd/ssd1/www/www.sjds.net/vendor/composer/autoload_static.php ( 4.90 KB )
  7. /yingpanguazai/ssd/ssd1/www/www.sjds.net/vendor/topthink/think-helper/src/helper.php ( 8.34 KB )
  8. /yingpanguazai/ssd/ssd1/www/www.sjds.net/vendor/topthink/think-validate/src/helper.php ( 2.19 KB )
  9. /yingpanguazai/ssd/ssd1/www/www.sjds.net/vendor/topthink/think-orm/src/helper.php ( 1.47 KB )
  10. /yingpanguazai/ssd/ssd1/www/www.sjds.net/vendor/topthink/think-orm/stubs/load_stubs.php ( 0.16 KB )
  11. /yingpanguazai/ssd/ssd1/www/www.sjds.net/vendor/topthink/framework/src/think/Exception.php ( 1.69 KB )
  12. /yingpanguazai/ssd/ssd1/www/www.sjds.net/vendor/topthink/think-container/src/Facade.php ( 2.71 KB )
  13. /yingpanguazai/ssd/ssd1/www/www.sjds.net/vendor/symfony/deprecation-contracts/function.php ( 0.99 KB )
  14. /yingpanguazai/ssd/ssd1/www/www.sjds.net/vendor/symfony/polyfill-mbstring/bootstrap.php ( 8.26 KB )
  15. /yingpanguazai/ssd/ssd1/www/www.sjds.net/vendor/symfony/polyfill-mbstring/bootstrap80.php ( 9.78 KB )
  16. /yingpanguazai/ssd/ssd1/www/www.sjds.net/vendor/symfony/var-dumper/Resources/functions/dump.php ( 1.49 KB )
  17. /yingpanguazai/ssd/ssd1/www/www.sjds.net/vendor/topthink/think-dumper/src/helper.php ( 0.18 KB )
  18. /yingpanguazai/ssd/ssd1/www/www.sjds.net/vendor/symfony/var-dumper/VarDumper.php ( 4.30 KB )
  19. /yingpanguazai/ssd/ssd1/www/www.sjds.net/vendor/topthink/framework/src/think/App.php ( 15.30 KB )
  20. /yingpanguazai/ssd/ssd1/www/www.sjds.net/vendor/topthink/think-container/src/Container.php ( 15.76 KB )
  21. /yingpanguazai/ssd/ssd1/www/www.sjds.net/vendor/psr/container/src/ContainerInterface.php ( 1.02 KB )
  22. /yingpanguazai/ssd/ssd1/www/www.sjds.net/app/provider.php ( 0.19 KB )
  23. /yingpanguazai/ssd/ssd1/www/www.sjds.net/vendor/topthink/framework/src/think/Http.php ( 6.04 KB )
  24. /yingpanguazai/ssd/ssd1/www/www.sjds.net/vendor/topthink/think-helper/src/helper/Str.php ( 7.29 KB )
  25. /yingpanguazai/ssd/ssd1/www/www.sjds.net/vendor/topthink/framework/src/think/Env.php ( 4.68 KB )
  26. /yingpanguazai/ssd/ssd1/www/www.sjds.net/app/common.php ( 0.03 KB )
  27. /yingpanguazai/ssd/ssd1/www/www.sjds.net/vendor/topthink/framework/src/helper.php ( 18.78 KB )
  28. /yingpanguazai/ssd/ssd1/www/www.sjds.net/vendor/topthink/framework/src/think/Config.php ( 5.54 KB )
  29. /yingpanguazai/ssd/ssd1/www/www.sjds.net/config/app.php ( 0.95 KB )
  30. /yingpanguazai/ssd/ssd1/www/www.sjds.net/config/cache.php ( 0.78 KB )
  31. /yingpanguazai/ssd/ssd1/www/www.sjds.net/config/console.php ( 0.23 KB )
  32. /yingpanguazai/ssd/ssd1/www/www.sjds.net/config/cookie.php ( 0.56 KB )
  33. /yingpanguazai/ssd/ssd1/www/www.sjds.net/config/database.php ( 2.48 KB )
  34. /yingpanguazai/ssd/ssd1/www/www.sjds.net/vendor/topthink/framework/src/think/facade/Env.php ( 1.67 KB )
  35. /yingpanguazai/ssd/ssd1/www/www.sjds.net/config/filesystem.php ( 0.61 KB )
  36. /yingpanguazai/ssd/ssd1/www/www.sjds.net/config/lang.php ( 0.91 KB )
  37. /yingpanguazai/ssd/ssd1/www/www.sjds.net/config/log.php ( 1.35 KB )
  38. /yingpanguazai/ssd/ssd1/www/www.sjds.net/config/middleware.php ( 0.19 KB )
  39. /yingpanguazai/ssd/ssd1/www/www.sjds.net/config/route.php ( 1.89 KB )
  40. /yingpanguazai/ssd/ssd1/www/www.sjds.net/config/session.php ( 0.57 KB )
  41. /yingpanguazai/ssd/ssd1/www/www.sjds.net/config/trace.php ( 0.34 KB )
  42. /yingpanguazai/ssd/ssd1/www/www.sjds.net/config/view.php ( 0.82 KB )
  43. /yingpanguazai/ssd/ssd1/www/www.sjds.net/app/event.php ( 0.25 KB )
  44. /yingpanguazai/ssd/ssd1/www/www.sjds.net/vendor/topthink/framework/src/think/Event.php ( 7.67 KB )
  45. /yingpanguazai/ssd/ssd1/www/www.sjds.net/app/service.php ( 0.13 KB )
  46. /yingpanguazai/ssd/ssd1/www/www.sjds.net/app/AppService.php ( 0.26 KB )
  47. /yingpanguazai/ssd/ssd1/www/www.sjds.net/vendor/topthink/framework/src/think/Service.php ( 1.64 KB )
  48. /yingpanguazai/ssd/ssd1/www/www.sjds.net/vendor/topthink/framework/src/think/Lang.php ( 7.35 KB )
  49. /yingpanguazai/ssd/ssd1/www/www.sjds.net/vendor/topthink/framework/src/lang/zh-cn.php ( 13.70 KB )
  50. /yingpanguazai/ssd/ssd1/www/www.sjds.net/vendor/topthink/framework/src/think/initializer/Error.php ( 3.31 KB )
  51. /yingpanguazai/ssd/ssd1/www/www.sjds.net/vendor/topthink/framework/src/think/initializer/RegisterService.php ( 1.33 KB )
  52. /yingpanguazai/ssd/ssd1/www/www.sjds.net/vendor/services.php ( 0.14 KB )
  53. /yingpanguazai/ssd/ssd1/www/www.sjds.net/vendor/topthink/framework/src/think/service/PaginatorService.php ( 1.52 KB )
  54. /yingpanguazai/ssd/ssd1/www/www.sjds.net/vendor/topthink/framework/src/think/service/ValidateService.php ( 0.99 KB )
  55. /yingpanguazai/ssd/ssd1/www/www.sjds.net/vendor/topthink/framework/src/think/service/ModelService.php ( 2.04 KB )
  56. /yingpanguazai/ssd/ssd1/www/www.sjds.net/vendor/topthink/think-trace/src/Service.php ( 0.77 KB )
  57. /yingpanguazai/ssd/ssd1/www/www.sjds.net/vendor/topthink/framework/src/think/Middleware.php ( 6.72 KB )
  58. /yingpanguazai/ssd/ssd1/www/www.sjds.net/vendor/topthink/framework/src/think/initializer/BootService.php ( 0.77 KB )
  59. /yingpanguazai/ssd/ssd1/www/www.sjds.net/vendor/topthink/think-orm/src/Paginator.php ( 11.86 KB )
  60. /yingpanguazai/ssd/ssd1/www/www.sjds.net/vendor/topthink/think-validate/src/Validate.php ( 63.20 KB )
  61. /yingpanguazai/ssd/ssd1/www/www.sjds.net/vendor/topthink/think-orm/src/Model.php ( 23.55 KB )
  62. /yingpanguazai/ssd/ssd1/www/www.sjds.net/vendor/topthink/think-orm/src/model/concern/Attribute.php ( 21.05 KB )
  63. /yingpanguazai/ssd/ssd1/www/www.sjds.net/vendor/topthink/think-orm/src/model/concern/AutoWriteData.php ( 4.21 KB )
  64. /yingpanguazai/ssd/ssd1/www/www.sjds.net/vendor/topthink/think-orm/src/model/concern/Conversion.php ( 6.44 KB )
  65. /yingpanguazai/ssd/ssd1/www/www.sjds.net/vendor/topthink/think-orm/src/model/concern/DbConnect.php ( 5.16 KB )
  66. /yingpanguazai/ssd/ssd1/www/www.sjds.net/vendor/topthink/think-orm/src/model/concern/ModelEvent.php ( 2.33 KB )
  67. /yingpanguazai/ssd/ssd1/www/www.sjds.net/vendor/topthink/think-orm/src/model/concern/RelationShip.php ( 28.29 KB )
  68. /yingpanguazai/ssd/ssd1/www/www.sjds.net/vendor/topthink/think-helper/src/contract/Arrayable.php ( 0.09 KB )
  69. /yingpanguazai/ssd/ssd1/www/www.sjds.net/vendor/topthink/think-helper/src/contract/Jsonable.php ( 0.13 KB )
  70. /yingpanguazai/ssd/ssd1/www/www.sjds.net/vendor/topthink/think-orm/src/model/contract/Modelable.php ( 0.09 KB )
  71. /yingpanguazai/ssd/ssd1/www/www.sjds.net/vendor/topthink/framework/src/think/Db.php ( 2.88 KB )
  72. /yingpanguazai/ssd/ssd1/www/www.sjds.net/vendor/topthink/think-orm/src/DbManager.php ( 8.52 KB )
  73. /yingpanguazai/ssd/ssd1/www/www.sjds.net/vendor/topthink/framework/src/think/Log.php ( 6.28 KB )
  74. /yingpanguazai/ssd/ssd1/www/www.sjds.net/vendor/topthink/framework/src/think/Manager.php ( 3.92 KB )
  75. /yingpanguazai/ssd/ssd1/www/www.sjds.net/vendor/psr/log/src/LoggerTrait.php ( 2.69 KB )
  76. /yingpanguazai/ssd/ssd1/www/www.sjds.net/vendor/psr/log/src/LoggerInterface.php ( 2.71 KB )
  77. /yingpanguazai/ssd/ssd1/www/www.sjds.net/vendor/topthink/framework/src/think/Cache.php ( 4.92 KB )
  78. /yingpanguazai/ssd/ssd1/www/www.sjds.net/vendor/psr/simple-cache/src/CacheInterface.php ( 4.71 KB )
  79. /yingpanguazai/ssd/ssd1/www/www.sjds.net/vendor/topthink/think-helper/src/helper/Arr.php ( 16.63 KB )
  80. /yingpanguazai/ssd/ssd1/www/www.sjds.net/vendor/topthink/framework/src/think/cache/driver/File.php ( 7.84 KB )
  81. /yingpanguazai/ssd/ssd1/www/www.sjds.net/vendor/topthink/framework/src/think/cache/Driver.php ( 9.03 KB )
  82. /yingpanguazai/ssd/ssd1/www/www.sjds.net/vendor/topthink/framework/src/think/contract/CacheHandlerInterface.php ( 1.99 KB )
  83. /yingpanguazai/ssd/ssd1/www/www.sjds.net/app/Request.php ( 0.09 KB )
  84. /yingpanguazai/ssd/ssd1/www/www.sjds.net/vendor/topthink/framework/src/think/Request.php ( 55.78 KB )
  85. /yingpanguazai/ssd/ssd1/www/www.sjds.net/app/middleware.php ( 0.25 KB )
  86. /yingpanguazai/ssd/ssd1/www/www.sjds.net/vendor/topthink/framework/src/think/Pipeline.php ( 2.61 KB )
  87. /yingpanguazai/ssd/ssd1/www/www.sjds.net/vendor/topthink/think-trace/src/TraceDebug.php ( 3.40 KB )
  88. /yingpanguazai/ssd/ssd1/www/www.sjds.net/vendor/topthink/framework/src/think/middleware/SessionInit.php ( 1.94 KB )
  89. /yingpanguazai/ssd/ssd1/www/www.sjds.net/vendor/topthink/framework/src/think/Session.php ( 1.80 KB )
  90. /yingpanguazai/ssd/ssd1/www/www.sjds.net/vendor/topthink/framework/src/think/session/driver/File.php ( 6.27 KB )
  91. /yingpanguazai/ssd/ssd1/www/www.sjds.net/vendor/topthink/framework/src/think/contract/SessionHandlerInterface.php ( 0.87 KB )
  92. /yingpanguazai/ssd/ssd1/www/www.sjds.net/vendor/topthink/framework/src/think/session/Store.php ( 7.12 KB )
  93. /yingpanguazai/ssd/ssd1/www/www.sjds.net/vendor/topthink/framework/src/think/Route.php ( 23.73 KB )
  94. /yingpanguazai/ssd/ssd1/www/www.sjds.net/vendor/topthink/framework/src/think/route/RuleName.php ( 5.75 KB )
  95. /yingpanguazai/ssd/ssd1/www/www.sjds.net/vendor/topthink/framework/src/think/route/Domain.php ( 2.53 KB )
  96. /yingpanguazai/ssd/ssd1/www/www.sjds.net/vendor/topthink/framework/src/think/route/RuleGroup.php ( 22.43 KB )
  97. /yingpanguazai/ssd/ssd1/www/www.sjds.net/vendor/topthink/framework/src/think/route/Rule.php ( 26.95 KB )
  98. /yingpanguazai/ssd/ssd1/www/www.sjds.net/vendor/topthink/framework/src/think/route/RuleItem.php ( 9.78 KB )
  99. /yingpanguazai/ssd/ssd1/www/www.sjds.net/route/app.php ( 1.72 KB )
  100. /yingpanguazai/ssd/ssd1/www/www.sjds.net/vendor/topthink/framework/src/think/facade/Route.php ( 4.70 KB )
  101. /yingpanguazai/ssd/ssd1/www/www.sjds.net/vendor/topthink/framework/src/think/route/dispatch/Controller.php ( 4.74 KB )
  102. /yingpanguazai/ssd/ssd1/www/www.sjds.net/vendor/topthink/framework/src/think/route/Dispatch.php ( 10.44 KB )
  103. /yingpanguazai/ssd/ssd1/www/www.sjds.net/app/controller/Index.php ( 4.81 KB )
  104. /yingpanguazai/ssd/ssd1/www/www.sjds.net/app/BaseController.php ( 2.05 KB )
  105. /yingpanguazai/ssd/ssd1/www/www.sjds.net/vendor/topthink/think-orm/src/facade/Db.php ( 0.93 KB )
  106. /yingpanguazai/ssd/ssd1/www/www.sjds.net/vendor/topthink/think-orm/src/db/connector/Mysql.php ( 5.44 KB )
  107. /yingpanguazai/ssd/ssd1/www/www.sjds.net/vendor/topthink/think-orm/src/db/PDOConnection.php ( 52.47 KB )
  108. /yingpanguazai/ssd/ssd1/www/www.sjds.net/vendor/topthink/think-orm/src/db/Connection.php ( 8.39 KB )
  109. /yingpanguazai/ssd/ssd1/www/www.sjds.net/vendor/topthink/think-orm/src/db/ConnectionInterface.php ( 4.57 KB )
  110. /yingpanguazai/ssd/ssd1/www/www.sjds.net/vendor/topthink/think-orm/src/db/builder/Mysql.php ( 16.58 KB )
  111. /yingpanguazai/ssd/ssd1/www/www.sjds.net/vendor/topthink/think-orm/src/db/Builder.php ( 24.06 KB )
  112. /yingpanguazai/ssd/ssd1/www/www.sjds.net/vendor/topthink/think-orm/src/db/BaseBuilder.php ( 27.50 KB )
  113. /yingpanguazai/ssd/ssd1/www/www.sjds.net/vendor/topthink/think-orm/src/db/Query.php ( 15.71 KB )
  114. /yingpanguazai/ssd/ssd1/www/www.sjds.net/vendor/topthink/think-orm/src/db/BaseQuery.php ( 45.13 KB )
  115. /yingpanguazai/ssd/ssd1/www/www.sjds.net/vendor/topthink/think-orm/src/db/concern/TimeFieldQuery.php ( 7.43 KB )
  116. /yingpanguazai/ssd/ssd1/www/www.sjds.net/vendor/topthink/think-orm/src/db/concern/AggregateQuery.php ( 3.26 KB )
  117. /yingpanguazai/ssd/ssd1/www/www.sjds.net/vendor/topthink/think-orm/src/db/concern/ModelRelationQuery.php ( 20.07 KB )
  118. /yingpanguazai/ssd/ssd1/www/www.sjds.net/vendor/topthink/think-orm/src/db/concern/ParamsBind.php ( 3.66 KB )
  119. /yingpanguazai/ssd/ssd1/www/www.sjds.net/vendor/topthink/think-orm/src/db/concern/ResultOperation.php ( 7.01 KB )
  120. /yingpanguazai/ssd/ssd1/www/www.sjds.net/vendor/topthink/think-orm/src/db/concern/WhereQuery.php ( 19.37 KB )
  121. /yingpanguazai/ssd/ssd1/www/www.sjds.net/vendor/topthink/think-orm/src/db/concern/JoinAndViewQuery.php ( 7.11 KB )
  122. /yingpanguazai/ssd/ssd1/www/www.sjds.net/vendor/topthink/think-orm/src/db/concern/TableFieldInfo.php ( 2.63 KB )
  123. /yingpanguazai/ssd/ssd1/www/www.sjds.net/vendor/topthink/think-orm/src/db/concern/Transaction.php ( 2.77 KB )
  124. /yingpanguazai/ssd/ssd1/www/www.sjds.net/vendor/topthink/framework/src/think/log/driver/File.php ( 5.96 KB )
  125. /yingpanguazai/ssd/ssd1/www/www.sjds.net/vendor/topthink/framework/src/think/contract/LogHandlerInterface.php ( 0.86 KB )
  126. /yingpanguazai/ssd/ssd1/www/www.sjds.net/vendor/topthink/framework/src/think/log/Channel.php ( 3.89 KB )
  127. /yingpanguazai/ssd/ssd1/www/www.sjds.net/vendor/topthink/framework/src/think/event/LogRecord.php ( 1.02 KB )
  128. /yingpanguazai/ssd/ssd1/www/www.sjds.net/vendor/topthink/think-helper/src/Collection.php ( 16.47 KB )
  129. /yingpanguazai/ssd/ssd1/www/www.sjds.net/vendor/topthink/framework/src/think/facade/View.php ( 1.70 KB )
  130. /yingpanguazai/ssd/ssd1/www/www.sjds.net/vendor/topthink/framework/src/think/View.php ( 4.39 KB )
  131. /yingpanguazai/ssd/ssd1/www/www.sjds.net/vendor/topthink/framework/src/think/Response.php ( 8.81 KB )
  132. /yingpanguazai/ssd/ssd1/www/www.sjds.net/vendor/topthink/framework/src/think/response/View.php ( 3.29 KB )
  133. /yingpanguazai/ssd/ssd1/www/www.sjds.net/vendor/topthink/framework/src/think/Cookie.php ( 6.06 KB )
  134. /yingpanguazai/ssd/ssd1/www/www.sjds.net/vendor/topthink/think-view/src/Think.php ( 8.38 KB )
  135. /yingpanguazai/ssd/ssd1/www/www.sjds.net/vendor/topthink/framework/src/think/contract/TemplateHandlerInterface.php ( 1.60 KB )
  136. /yingpanguazai/ssd/ssd1/www/www.sjds.net/vendor/topthink/think-template/src/Template.php ( 46.61 KB )
  137. /yingpanguazai/ssd/ssd1/www/www.sjds.net/vendor/topthink/think-template/src/template/driver/File.php ( 2.41 KB )
  138. /yingpanguazai/ssd/ssd1/www/www.sjds.net/vendor/topthink/think-template/src/template/contract/DriverInterface.php ( 0.86 KB )
  139. /yingpanguazai/ssd/ssd1/www/www.sjds.net/runtime/temp/5febe16c9207553ef9b4c4406f7af920.php ( 12.06 KB )
  140. /yingpanguazai/ssd/ssd1/www/www.sjds.net/vendor/topthink/think-trace/src/Html.php ( 4.42 KB )
  1. CONNECT:[ UseTime:0.000777s ] mysql:host=127.0.0.1;port=3306;dbname=www_sjds;charset=utf8mb4
  2. SHOW FULL COLUMNS FROM `fenlei` [ RunTime:0.000810s ]
  3. SELECT * FROM `fenlei` WHERE `fid` = 0 [ RunTime:0.000305s ]
  4. SELECT * FROM `fenlei` WHERE `fid` = 63 [ RunTime:0.000269s ]
  5. SHOW FULL COLUMNS FROM `set` [ RunTime:0.000599s ]
  6. SELECT * FROM `set` [ RunTime:0.000234s ]
  7. SHOW FULL COLUMNS FROM `article` [ RunTime:0.000644s ]
  8. SELECT * FROM `article` WHERE `id` = 473440 LIMIT 1 [ RunTime:0.000372s ]
  9. UPDATE `article` SET `lasttime` = 1779837360 WHERE `id` = 473440 [ RunTime:0.003474s ]
  10. SELECT * FROM `fenlei` WHERE `id` = 65 LIMIT 1 [ RunTime:0.000288s ]
  11. SELECT * FROM `article` WHERE `id` < 473440 ORDER BY `id` DESC LIMIT 1 [ RunTime:0.000580s ]
  12. SELECT * FROM `article` WHERE `id` > 473440 ORDER BY `id` ASC LIMIT 1 [ RunTime:0.001951s ]
  13. SELECT * FROM `article` WHERE `id` < 473440 ORDER BY `id` DESC LIMIT 10 [ RunTime:0.000963s ]
  14. SELECT * FROM `article` WHERE `id` < 473440 ORDER BY `id` DESC LIMIT 10,10 [ RunTime:0.006655s ]
  15. SELECT * FROM `article` WHERE `id` < 473440 ORDER BY `id` DESC LIMIT 20,10 [ RunTime:0.000822s ]
0.172441s